Continuous and bimonthly publication
ISSN (on-line): 1806-3756

Licença Creative Commons
12849
Views
Back to summary
Open Access Peer-Reviewed
Original Article

Ocorrência de sintomas asmáticos e de distúrbio obstrutivo em nadadores amadores de 8 a 17 anos de idade

Occurrence of asthma symptoms and of airflow obstruction in amateur swimmers between 8 and 17 years of age

Iara Nely Fiks, André Luis Pereira de Albuquerque, Leonardo Dias, Celso Ricardo Fernandes de Carvalho, Carlos Roberto Ribeiro de Carvalho

ABSTRACT

Objective: To determine the prevalence of asthma symptoms and of airflow obstruction in amateur swimmers between 8 and 17 years of age, as well as to assess the awareness of asthma and asthma management among these swimmers, their parents, and their coaches. Methods: Our sample comprised 1,116 amateur swimmers who completed a modified version of the International Study of Asthma and Allergies in Childhood written questionnaire, to which questions regarding the reasons to initiate swimming and regarding asthma management had been added. In addition, the participants underwent spirometry prior to a swimming competition. Results:   The prevalence of asthma symptoms in the last 12 months was 11.5%, and 327 (29.4%) of the participants reported "wheezing or whistling" in the past. Of the 223 swimmers who reported "asthma ever" or "bronchitis ever", only 102 (45.7%) reported having ever been treated: the most common "treatment" was swimming (in 37.3%), and only 12.7% used inhaled corticosteroids. Of the 254 participants (22.7%) with airflow obstruction, only 52  (20.5%) reported having asthma symptoms. Conclusions: Asthma symptoms are present in amateur swimmers, and a considerable number of such swimmers have airflow obstruction without symptoms. It is therefore likely that the prevalence of asthma is underestimated in this population. It is worrisome that, in our study sample, the swimmers previously diagnosed with asthma were not using the recommended treatments for asthma. The clinical implications of these findings underscore the importance of implementing educational measures for amateur swimmers, as well as for their parents and coaches, to help them recognize asthma symptoms and the consequent risks in the sports environment, in order to allow prompt diagnosis and early clinical intervention.

Keywords: Asthma/diagnosis; Asthma/prevention & control; Sports.

RESUMO

Objetivo: Analisar a prevalência de sintomas asmáticos e de obstrução ao fluxo aéreo em nadadores amadores de 8-17 anos de idade e avaliar a conscientização sobre asma e tratamento de asma entre nadadores, seus pais e treinadores. Métodos: Uma amostra com 1.116 nadadores amadores respondeu a uma versão modificada do questionário escrito do International Study of Asthma and Allergies in Childhood, ao qual questões sobre as razões de início da natação e sobre gerenciamento de asma foram adicionadas. Os participantes realizaram espirometria antes de uma prova de natação. Resultados: A prevalência de sintomas de asma nos últimos 12 meses foi de 11,5%, e 327 participantes (29,4%) relataram sibilos no passado. Dos 223 nadadores que relataram asma ou bronquite na vida, somente 102 (45,7%) relataram algum tipo de tratamento: natação foi o "tratamento" mais frequente (37,3%), e somente 12,7% utilizavam corticosteroides inalatórios. Dos 254 participantes (22,7%) com obstrução ao fluxo aéreo, somente 52 (20,5%) relataram sintomas de asma. Conclusões: Os sintomas de asma estão presentes em nadadores amadores, e muitos deles têm obstrução ao fluxo aéreo sem sintomas, o que sugere uma subestimação da asma nessa população. É preocupante que os nadadores diagnosticados previamente com asma não utilizassem os tratamentos recomendados para asma. As implicações clínicas desses achados enfatizam a importância da implementação de medidas educacionais para nadadores amadores, pais e treinadores para auxiliá-los no reconhecimento dos sintomas de asma e de seus riscos no ambiente esportivo a fim de permitir o diagnóstico e a intervenção clínica precoce.

Palavras-chave: Asma/diagnóstico; Asma/prevenção & controle; Esportes.

Introdução

A asma é um problema mundial que afeta aproximadamente 300 milhões de indivíduos, com alta prevalência entre crianças e adolescentes.(1) Os sintomas de asma também constituem um obstáculo importante à prática de esportes. A atividade física é uma condição particular que pode desencadear exacerbações clínicas na maioria dos pacientes com asma. Alguns estudos descobriram que a natação está relacionada a uma maior prevalência de sintomas de asma, embora esses estudos tenham quase que exclusivamente evolvido nadadores profissionais.(2-6)

Embora os mecanismos subjacentes responsáveis pelo desenvolvimento dos sintomas de asma durante a natação ainda não estejam claros, a exposição a irritantes, tais como os compostos de cloro que são utilizados para desinfetar piscinas, mostrou ter um papel na inflamação das vias aéreas e, portanto, predispor a broncoconstrição.(7-9) Durante a prática do esporte, os nadadores inalam grandes quantidades de ar logo acima da superfície da água, além de estarem suscetíveis à microaspiração de água para a traqueia e os brônquios.(7)

As crianças e os adolescentes que nadam constituem uma relevante população epidemiológica a ser investigada, não só em razão da exposição ao cloro e dos seus riscos, mas também porque eles têm uma maior prevalência de asma que os adultos.(1,10) Além disso, o diagnóstico e o tratamento adequados nesse grupo podem evitar a progressão e as complicações substanciais da asma no futuro. Para avaliar essa população, acreditamos que seria mais apropriado investigar nadadores amadores que nadadores profissionais, pois os primeiros geralmente são mais jovens e foram pouco investigados em estudos anteriores. Além disso, os nadadores amadores representam um número maior de atletas. Embora tenhamos realizado uma investigação anterior envolvendo nadadores amadores no Brasil, o tamanho de nossa amostra era pequeno, e outros aspectos relacionados ao tema ainda precisam ser esclarecidos.(11)

O objetivo do presente estudo foi determinar a prevalência de sintomas de asma em nadadores amadores de 8 a 17 anos de idade e avaliar a conscientização sobre asma e gerenciamento da asma entre nadadores, pais e treinadores. Um objetivo secundário foi buscar correlações entre obstrução ao fluxo aéreo e os sintomas de asma relatados por esses nadadores. Levantamos a hipótese de que alguns nadadores amadores podem ter obstrução ao fluxo aéreo sem sintomas de asma.

Métodos

Este estudo envolveu nadadores de 8 a 17 anos de idade que participaram de uma competição brasileira de natação apenas para atletas amadores. A maioria dos nadadores estava acostumada a treinar em piscinas tratadas com cloro. Os atletas vieram de várias cidades do estado de São Paulo, o que nos permitiu avaliar atletas de uma ampla área. Um total de 4.014 nadadores foi inscrito na competição.

Pouco antes das provas de natação e sempre de manhã, os nadadores foram convidados a preencher um questionário e a realizar manobras de espirometria. Os nadadores foram selecionados aleatoriamente por membros da nossa equipe que os abordaram em torno da piscina durante a competição. Os nadadores receberam uma versão modificada do questionário escrito do International Study of Asthma and Allergies in Childhood (ISAAC) em português (validado para uso no Brasil). O questionário do ISAAC tem sido amplamente utilizado nesse tipo de investigação epidemiológica para determinar a prevalência de sintomas de asma em grandes populações, no Brasil e em outros lugares.(12-14) O questionário modificado do ISAAC utilizado neste estudo incluiu questões sobre os motivos para iniciar a natação e sobre o uso atual de tratamentos de asma, se houvesse. O estudo foi aprovado pelo Comitê de Ética em Pesquisa do Hospital São Luiz e pela Comissão Nacional de Ética em Pesquisa. Todos os participantes assinaram um termo de consentimento livre e esclarecido. Durante o preenchimento do questionário, os pais ou técnicos foram encorajados a ajudar os participantes (especialmente as crianças mais jovens), embora não tenham sido autorizados a responder pelo nadador-apenas a transcrever suas respostas orais. Dependendo da ocorrência de sintomas de asma, o escore total máximo no questionário era de 14 pontos. Um valor de corte de 6 pontos, empregado em um estudo anterior evolvendo crianças no Brasil,(13) foi utilizado para distinguir entre presença e ausência de sintomas de asma. Além disso, a ocorrência de sibilos (chiado) nos últimos 12 meses, a qual provou ter boa sensibilidade e especificidade no diagnóstico clínico da asma,(15) também foi considerada uma critério maior para a presença de sintomas de asma. Ambos os critérios foram validados em investigações anteriores.(12,13,15)

Como o questionário escrito do ISAAC é específico para indivíduos de 6-7 ou de 13-14 anos de idade, as respostas obtidas dos nadadores na faixa de 13-14 anos de idade foram comparadas às dadas pelos nadadores de outras idades para a identificação de possíveis diferenças relacionadas à idade.

A espirometria foi realizada antes das provas de natação. Utilizamos um espirômetro portátil (One Flow Soft V 1.2, Clement Clarke International, Essex, Reino Unido). Foram realizadas pelo menos três manobras expiratórias, de acordo com as recomendações da European Respiratory Society/American Thoracic Society.(16) Os valores previstos foram baseados em um estudo anterior realizado no Brasil e foram ajustados para idade.(17) Também calculamos o índice de massa corporal (in kg/m²) para cada participante.

Para identificar os nadadores com obstrução ao fluxo aéreo em repouso, foram definidos dois subgrupos, com base no valor médio do limite inferior de normalidade para a relação VEF1/CVF em indivíduos pareados por idade(17): aqueles com relação VEF1/CVF < 80% e aqueles com relação VEF1/CVF ≥ 80%. Foram contrastadas a prevalência de sintomas de asma e as medidas espirométricas entre os dois subgrupos. Como os nadadores podem ter grandes volumes pulmonares,(18,19) levando a uma redução da relação VEF1/CVF que não representa necessariamente uma obstrução ao fluxo aéreo mas apenas uma variante fisiológica do normal, os nadadores com CVF > 120% do previsto foram excluídos.(20,21) Entre os nadadores restantes, a prevalência de sintomas de asma e as variáveis espirométricas foram então novamente contrastadas entre aqueles com VEF1/CVF < 80% e aqueles com VEF1/CVF ≥ 80%.

O descompasso clínico/funcional foi definido como a presença de obstrução ao fluxo aéreo, confirmada pela espirometria, sem sintomas de asma. Essa classificação tem sérias implicações, e seus possíveis mecanismos são descritos na seção Discussão.

A análise estatística foi realizada com o programa Statistical Package for the Social Sciences, versão 13.0 (SPSS Inc., Chicago, IL, EUA). Para as variáveis com distribuição normal, utilizamos o teste t de Student para comparações entre dois grupos, enquanto, para as variáveis com distribuição não normal, utilizamos o teste de Mann-Whitney. O teste do qui-quadrado foi utilizado para comparar proporções entre grupos. O nível de significância estatística adotado foi de p < 0,05.

Resultados

Embora não se tenha podido determinar o número real de participantes, considerando-se que 4.014 nadadores foram inscritos na competição de natação, 1.116 (27,8%) preencheram o questionário e realizaram a espirometria de repouso. Esse tamanho amostral foi o maior que pôde ser obtido por nossa equipe. Nosso objetivo foi avaliar pelo menos 25% dos nadadores que participaram da competição (definido durante o delineamento do estudo), então atingimos o tamanho amostral pretendido. Como pode ser visto na Tabela 1, a maioria dos nadadores era do sexo masculino, tendia a ser magra (índice de massa corporal médio: 19,6 kg/m2) e apresentava função pulmonar normal. A média de idade dos participantes era de 12,4 ± 2,4 anos, e os participantes estavam igualmente distribuídos na faixa etária estudada.



Os questionários foram preenchidos por 383 nadadores (34,6%), 611 pais de nadadores (54,7%), 53 técnicos de natação (4,7%) e 66 parentes não nucleares de nadadores (5,9%). Em geral, os participantes começaram a nadar para praticar um esporte. Porém, 175 participantes (15,7%) consideravam a natação como um possível tratamento para seus problemas respiratórios (Tabela 2). A ocorrência de sintomas de asma foi comum. Dos 1.116 participantes, 327 (29,3%) relataram histórico de sibilos (chiado), 128 (11,5%) relataram sibilos (chiado) nos últimos 12 meses e 223 (20,0%) relataram asma ou bronquite alguma vez na vida. Não houve diferenças entre os gêneros em relação à prevalência de sintomas de asma (p < 0,05; dados não apresentados).



O grupo de nadadores que relatou ter começado a nadar para tratar seus problemas respiratórios (n = 175) mostrou algumas características particulares, tais como maior prevalência do sexo masculino, de obstrução ao fluxo aéreo e de sintomas de asma, quando comparados a outros nadadores da mesma idade (Tabela 3).



Quando comparamos as pontuações do questionário do ISAAC entre dois grupos etários (13-14 anos de idade e outras idades), a mediana do escore total foi comparável (1,44 ± 6,93 vs. 1,57 ± 6,73). Houve diferença significativa somente em relação à questão 2. Portanto, embora a especificidade do questionário escrito do ISAAC seja para indivíduos na faixa etária de 13-14 anos, não houve diferenças em comparação aos resultados obtidos em indivíduos de outras faixas etárias, sugerindo que esse questionário é uma ferramenta útil para esses grupos.

Dos 223 nadadores que relataram asma ou bronquite alguma vez na vida (questão 8), apenas 102 (45,7%) relataram algum tipo de tratamento: natação foi o "tratamento" mais frequente (37,3%) e apenas 12,7% utilizavam corticosteroides inalatórios (Figura 1).



Identificou-se obstrução ao fluxo aéreo (VEF1/CVF < 80%) em 254 dos participantes (22,7%). Quando esse subgrupo de participantes foi comparado ao de nadadores sem obstrução ao fluxo aéreo (VEF1/CVF ≥ 80%; n = 862), a incidência de sintomas de asma nos últimos 12 meses mostrou-se maior no primeiro (20,5% vs. 8,8%; p < 0,05), assim como a mediana do escore total no questionário do ISAAC (0,0 ± 9,7 vs. 0,0 ± 6,3; p < 0,05). Porém, mesmo após os participantes que pudessem representar uma variante fisiológica do normal (CVF > 120% do previsto; n = 441) terem sido excluídos de ambos os grupos, a obstrução ao fluxo aéreo observada para os restantes 96 indivíduos com VEF1/CVF < 80% continuou a ser mais pronunciada que a observada para os 579 indivíduos com VEF1/CVF ≥ 80% (VEF1 = 2,48 ± 0,78 L vs. 2,5 ± 80% L; p < 0,01) e a incidência de sintomas de asma nos últimos 12 meses continuou significativamente maior nos primeiros (16,7% vs. 9,0%; p = 0,02).

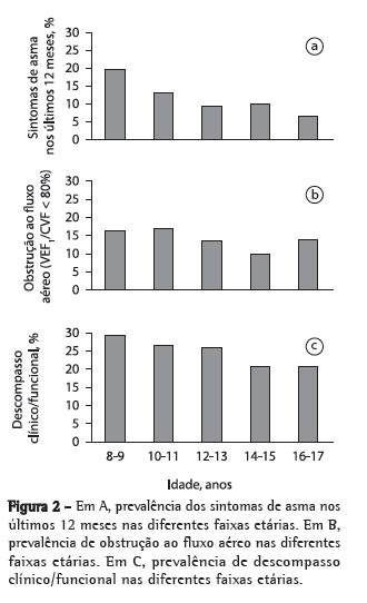
A presença de obstrução ao fluxo aéreo e a ocorrência de sintomas de asma, porém, estavam em desacordo, visto que apenas 20,5% dos participantes com VEF1/CVF < 80% relataram sibilos (chiado) nos últimos 12 meses. Embora esse descompasso tenha sido alto em todos os grupos etários (> 20%), ele foi maior entre os nadadores mais jovens (< 14 anos de idade), assim como os sintomas de asma e a obstrução ao fluxo aéreo (Figura 2).



Discussão

Embora haja várias investigações sobre nadadores profissionais e asma, pouco se sabe sobre a asma entre nadadores amadores, os quais, de fato, representam a maioria dos nadadores. Os resultados do presente estudo confirmam que os sintomas de asma também estão presentes em nadadores amadores e que um número considerável desses nadadores tem obstrução ao fluxo aéreo sem apresentar nenhum sintoma, sugerindo uma subestimação da prevalência de asma nessa população. Além disso, alguns atletas começaram a nadar para tratar sintomas respiratórios e, infelizmente, não utilizavam as medicações recomendadas para o gerenciamento da asma. Nosso grupo investigou anteriormente sintomas de asma em nadadores amadores.(11) Porém, nesse estudo anterior, o tamanho amostral era muito menor, e o presente estudo tem vários novos aspectos, tais como a avaliação dos motivos para iniciar a natação, a investigação das semelhanças e diferenças entre indivíduos previamente sintomáticos e indivíduos assintomáticos e a inclusão de grupos etários mais representativos.

Na presente investigação, 11,5% dos nadadores relataram sibilos (chiado) nos últimos 12 meses, uma prevalência semelhante à encontrada em outras investigações com crianças e adolescentes.(10,22) Porém, nossos resultados mostram que 29% desses nadadores apresentavam histórico de sintomas de asma e que 18,2% deles tinham diagnóstico médico de asma ou bronquite. Com base em achados anteriores em atletas,(23) pode-se presumir que esses nadadores sintomáticos apresentam falta de ar com maior frequência que os nadadores assintomáticos e que o seu sistema respiratório pode ficar sobrecarregado enquanto nadam.

Achamos notável que 15,7% dos nadadores avaliados tenham relatado que haviam iniciado a natação para tratar problemas respiratórios. Isso é resultado da crença cultural equivocada, aparentemente de muitos pais no Brasil e mesmo de muitos dos próprios atletas, de que a natação é uma opção terapêutica real, especialmente para asma. A natação melhora o desempenho físico e diminui a fadiga geral durante o exercício, mesmo em pacientes com asma.(24) Porém, não há dúvida de que um atleta com asma que não recebe tratamento regular irá apresentar desconforto respiratório com maior frequência que não atletas com asma e de que a natação pode ser desvantajosa para indivíduos com asma, em razão da sua baixa tolerância ao exercício, aumentando o risco de exacerbações clínicas.(23) Além disso, há relatos de morte entre jovens atletas competitivos portadores de asma,(25) confirmando o maior risco de exacerbações graves para um atleta não tratado portador de asma. Embora a natação possa ser uma abordagem adjuvante no controle da asma,(26-28) todos os pacientes com asma devem ser monitorados continuamente por seus médicos. Além do mais, outras condições médicas que resultam em sintomas semelhantes aos de asma - disfunção das pregas vocais, cardiopatias e pneumopatias(29) - só podem ser excluídas por meio de avaliação médica.

No presente estudo, essas relevantes repercussões clínicas e funcionais da asma para os atletas foram também reforçadas pelo fato de que nadadores com histórico de distúrbios respiratórios apresentaram, acentuadamente, mais sintomas de asma e menor relação VEF1/CVF que aqueles sem esse histórico (Tabela 3).

Embora 223 nadadores (20,0%) tenham relatado diagnóstico de asma ou bronquite, apenas 102 deles (45,7%) haviam recebido algum tipo de tratamento. A forma de "tratamento" mais frequentemente relatada foi a natação, não só porque a avaliação do estudo foi realizada em nadadores mas, novamente, em razão da crença cultural equivocada de que a natação isoladamente pode ser um tratamento eficaz para asma. Até onde sabemos, essa crença nunca foi descrita antes. A utilização de corticosteroides inalatórios correspondeu a apenas 12,7% de todas as intervenções terapêuticas. Portanto, fica claro que os tratamentos para asma utilizados por nadadores amadores são diferentes dos recomendados em diretrizes médicas,(1) o que poderia resultar em mau controle dos sintomas e em risco aumentado de comprometimento causado pela asma ao longo dos anos. Vale ressaltar que quase a metade dos nadadores que relatou diagnóstico de asma ou bronquite nunca havia recebido nenhum tipo de tratamento. Um dos motivos mais importantes para isso é, com certeza, a falta de conscientização - por parte de nadadores, pais e treinadores - sobre asma e gerenciamento da asma.

Sabe-se que pacientes com asma podem ter obstrução ao fluxo aéreo sem sintomas. Portanto, a presença de um padrão obstrutivo na espirometria não só contribui para um diagnóstico rápido da asma, mas também pode identificar indivíduos com maior risco de se tornarem sintomáticos durante o exercício. Porém, a comparação entre os dois grupos (com e sem obstrução ao fluxo aéreo), em termos da presença de sintomas de asma - determinada com base nos dois critérios mais comuns do ISAAC(13,15) - mostrou que apenas 20,5% dos nadadores diagnosticados com obstrução (VEF1/CVF < 80%) relataram sintomas respiratórios. É lógico concluir que há nadadores amadores com obstrução ao fluxo aéreo mas sem sintomas, conforme anteriormente relatado em estudos envolvendo atletas profissionais.(25,30) Esse achado tem implicações relevantes, pois atletas com problemas respiratórios assintomáticos podem levar um longo tempo para procurar atendimento médico e, consequentemente, receber tratamento adequado. Os principais motivos para esse descompasso clínico/funcional não estão claros. Sabe-se que o treinamento atlético leva a uma percepção ruim da dispneia,(24,26) obscurecendo assim os sintomas durante o exercício. Além disso, os atletas geralmente estão em forma e são considerados saudáveis, tanto por eles mesmos como pelos outros. Portanto, doenças e distúrbios raramente são reconhecidos pelos próprios atletas ou mesmo por seus médicos. Mais uma vez, o diagnóstico clínico preciso e rápido da asma e de outras doenças respiratórias pode, portanto, ser retardado nessa população.

Vale ressaltar que os nadadores mais jovens (< 14 anos de idade) não só relataram sintomas e apresentaram obstrução ao fluxo aéreo com maior frequência, mas também apresentaram maiores taxas de descompasso clínico/funcional. A principal implicação clínica desses achados é que, embora muitos nadadores jovens já sejam sintomáticos, há outro grupo relevante, composto por nadadores com obstrução ao fluxo aéreo que são assintomáticos. É provável que o diagnóstico precoce e preciso da asma seja mais difícil nesses indivíduos. Porém, como o presente estudo teve delineamento transversal, não podemos tirar nenhuma conclusão sobre se a idade ou o tempo de início da natação estão associados ao descompasso clínico/funcional. Um estudo de acompanhamento prospectivo desses nadadores pode elucidar essas associações.

Este foi um estudo transversal. Portanto, não podemos de fato afirmar que a presença de sintomas de asma ou de obstrução ao fluxo aéreo se relacionou a piores desfechos entre os nadadores amadores avaliados. Porém, podemos concluir que houve um número considerável de nadadores amadores com repercussões da asma (sintomas e obstrução ao fluxo aéreo) que não foi adequadamente diagnosticado ou tratado. Além disso, dada a evolução clínica desfavorável relatada em atletas com asma não diagnosticada em outros estudos, nossos resultados enfatizam a importância de se investigar asma nessa população.

No presente estudo, houve uma alta taxa de participação dos pais no preenchimento do questionário. A "ajuda" dos pais é comumente observada e aceita em questionários autoaplicáveis direcionados a crianças. Porém, coletamos apenas os questionários que foram preenchidos na presença dos nadadores, sob a supervisão de um dos pesquisadores, e os pais ou treinadores não foram autorizados a fornecer as respostas pelos participantes. Além disso, as respostas dadas com assistência não diferiram significativamente das respostas dadas pelos nadadores que preencheram o questionário sem nenhuma assistência.

Em resumo, os achados relevantes do presente estudo são que, entre nadadores amadores, muitos têm sintomas de asma e um número considerável tem obstrução ao fluxo aéreo sem sintomas, o que sugere uma subestimação da prevalência de asma nessa população. Destacamos também a alta proporção de crianças e adolescentes com diagnóstico médico de problemas respiratórios que haviam iniciado a natação como tratamento para esses problemas, indicando que há uma falta de conscientização por parte de atletas e pais de atletas jovens sobre gerenciamento da asma e riscos à saúde.

As implicações clínicas diretas desses achados enfatizam a importância da implantação de medidas educacionais para nadadores amadores, pais e treinadores para auxiliá-los no reconhecimento dos sintomas de asma e de seus riscos no ambiente esportivo a fim de permitir o diagnóstico e a intervenção clínica precoce.

Agradecimentos

Gostaríamos de agradecer ao nadador olímpico brasileiro Gustavo Borges e a sua família o apoio para o desenvolvimento desta pesquisa. Também gostaríamos de agradecer a todos os nossos colegas que realizaram espirometrias e coletaram dados, agradecer a Gregory B. Diette a revisão crítica do manuscrito e a contribuição científica e agradecer a Lisandra de Moura o auxílio na revisão do manuscrito em inglês.

Referências

1. Global Initiative for Asthma - GINA. [homepage on the Internet]. Bethesda: Global Initiative for Asthma. [updated 2010 Nov 1; cited 2011 Jun
10]. Global Strategy for Asthma Management and Prevention. [Adobe Acrobat document, 119p.] Available from: http://www.ginasthma.org/pdf/GINA_Report_2010.pdf

2. Helenius I, Lumme A, Haahtela T. Asthma, airway inflammation and treatment in elite athletes. Sports Med. 2005;35(7):565-74.

3. Langdeau JB, Boulet LP. Prevalence and mechanisms of development of asthma and airway hyperresponsiveness in athletes. Sports Med. 2001;31(8):601-16.

4. Boulet LP, Turcotte H, Langdeau JB, Bernier MC. Lower airway inflammatory responses to high-intensity training in athletes. Clin Invest Med. 2005;28(1):15-22.

5. Vergès S, Devouassoux G, Flore P, Rossini E, Fior-Gozlan M, Levy P, et al. Bronchial hyperresponsiveness, airway inflammation, and airflow limitation in endurance athletes. Chest. 2005;127(6):1935-41.

6. Helenius I, Haahtela T. Allergy and asthma in elite summer sport athletes. J Allergy Clin Immunol. 2000;106(3):444-52.

7. Thickett KM, McCoach JS, Gerber JM, Sadhra S, Burge PS. Occupational asthma caused by chloramines in indoor swimming-pool air. Eur Respir J. 2002;19(5):827-32.

8. Bernard A. Chlorination products: emerging links with allergic diseases. Curr Med Chem. 2007;14(16):1771-82.

9. Bernard A, Nickmilder M, Voisin C, Sardella A. Impact of chlorinated swimming pool attendance on the respiratory health of adolescents. Pediatrics. 2009;124(4):1110-8.

10. Solé D, Yamada E, Vana AT, Costa-Carvalho BT, Naspitz CK. Prevalence of asthma and related symptoms in school-age children in São Paulo, Brazil--International Study of Asthma and Allergies in Children (ISAAC). J Asthma. 1999;36(2):205-12.

11. Fiks IN, Santos LC, Antunes T, Gonçalves RC, Carvalho CR, Carvalho CR. Incidence of asthma symptoms and decreased pulmonary function in young amateur swimmers. J Bras Pneumol. 2009;35(3):206-12.

12. Asher MI, Keil U, Anderson HR, Beasley R, Crane J, Martinez F, et al. International Study of Asthma and Allergies in Childhood (ISAAC): rationale and methods. Eur Respir J. 1995;8(3):483-91.

13. Solé D, Yamada E, Vana AT, Werneck G, Solano de Freitas L, Sologuren MJ, et al. International Study of Asthma and Allergies in Childhood (ISAAC): prevalence of asthma and asthma-related symptoms among Brazilian schoolchildren. J Investig Allergol Clin Immunol. 2001;11(2):123-8.

14. Solé D, Vanna AT, Yamada E, Rizzo MC, Naspitz CK. International Study of Asthma and Allergies in Childhood (ISAAC) written questionnaire: validation of the asthma component among Brazilian children. J Investig Allergol Clin Immunol. 1998;8(6):376-82.

15. Jenkins MA, Clarke JR, Carlin JB, Robertson CF, Hopper JL, Dalton MF, et al. Validation of questionnaire and bronchial hyperresponsiveness against respiratory physician assessment in the diagnosis of asthma. Int J Epidemiol. 1996;25(3):609-16.

16. Miller MR, Hankinson J, Brusasco V, Burgos F, Casaburi R, Coates A, et al. Standardisation of spirometry. Eur Respir J. 2005;26(2):319-38.

17. Pereira CA, Barreto SP, Simões JG, Pereira FWL, Gerstler JG, Nakatani J. Valores de referência para a espirometria em uma amostra da população brasileira adulta. J Pneumol. 1992;18:10-22.

18. Armour J, Donnelly PM, Bye PT. The large lungs of elite swimmers: an increased alveolar number? Eur Respir J. 1993;6(2):237-47.

19. Clanton TL, Dixon GF, Drake J, Gadek JE. Effects of swim training on lung volumes and inspiratory muscle conditioning. J Appl Physiol. 1987;62(1):39-46.

20. Pellegrino R, Viegi G, Brusasco V, Crapo RO, Burgos F, Casaburi R, et al. Interpretative strategies for lung function tests. Eur Respir J. 2005;26(5):948-68.

21. Aitken ML, Schoene RB, Franklin J, Pierson DJ. Pulmonary function in subjects at the extremes of stature. Am Rev Respir Dis. 1985;131(1):166-8.

22. Chatkin MN, Menezes AM. Prevalence and risk factors for asthma in schoolchildren in southern Brazil [Article in Portuguese]. J Pediatr (Rio J). 2005;81(5):411-6.

23. DiDario AG, Becker JM. Asthma, sports, and death. Allergy Asthma Proc. 2005;26(5):341-4.

24. Ram FS, Robinson SM, Black PN, Picot J. Physical training for asthma. Cochrane Database Syst Rev. 2005;(4):CD001116.

25. Becker JM, Rogers J, Rossini G, Mirchandani H, D'Alonzo GE Jr. Asthma deaths during sports: report of a 7-year experience. J Allergy Clin Immunol. 2004;113(2):264-7.

26. Clark CJ. The role of physical training in asthma. Chest. 1992;101(5 Suppl):293S-298S.

27. Mendes FA, Gonçalves RC, Nunes MP, Saraiva-Romanholo BM, Cukier A, Stelmach R, et al. Effects of aerobic training on psychosocial morbidity and symptoms in patients with asthma: a randomized clinical trial. Chest. 2010;138(2):331-7.

28. Mendes FA, Almeida FM, Cukier A, Stelmach R, Jacob-Filho W, Martins MA, et al. Effects of aerobic training on airway inflammation in asthmatic patients. Med Sci Sports Exerc. 2011;43(2):197-203.

29. Weiss P, Rundell KW. Imitators of exercise-induced bronchoconstriction. Allergy Asthma Clin Immunol. 2009;5(1):7.

30. Rundell KW, Im J, Mayers LB, Wilber RL, Szmedra L, Schmitz HR. Self-reported symptoms and exercise-induced asthma in the elite athlete. Med Sci Sports Exerc. 2001;33(2):208-13.



* Trabalho realizado na Divisão de Pneumologia, Instituto do Coração  - InCor  - Hospital das Clínicas, Faculdade de Medicina, Universidade de São Paulo; no Departamento de Fisioterapia, Universidade de São Paulo, São Paulo (SP) Brasil; e na Faculdade de Medicina do ABC, Santo André (SP) Brasil.
Endereço para correspondência: Iara Nely Fiks. Hospital São Luiz. Rua Dr. João Clímaco Pereira, 51, Itaim-Bibi, CEP 04532-070, São Paulo, SP, Brasil.
Tel/Fax: 55 11 3845-3800. Email: ifiks@uol.com.br
Apoio financeiro: Este estudo recebeu apoio financeiro da Novartis S.A.
Recebido para publicação em 10/6/2011. Aprovado, após revisão, em 7/10/2011.



Sobre os autores

Iara Nely Fiks
Médica Pneumologista. Faculdade de Medicina do ABC, Santo André (SP) Brasil; e Hospital São Luiz, São Paulo (SP) Brasil.

André Luis Pereira de Albuquerque
Médico Pesquisador, Divisão de Pneumologia, Instituto do Coração, Hospital das Clínicas, Faculdade de Medicina da Universidade de São

Paulo, São Paulo (SP) Brasil.
Leonardo Dias
Fisioterapeuta. Departamento de Fisioterapia, Universidade de São Paulo, São Paulo (SP) Brasil.

Celso Ricardo Fernandes de Carvalho
Professor Livre-Docente. Departamento de Fisioterapia, Universidade de São Paulo, São Paulo (SP) Brasil.

Carlos Roberto Ribeiro de Carvalho
Professor Associado Livre-Docente de Pneumologia. Divisão de Pneumologia, Instituto do Coração, Hospital das Clínicas, Faculdade de Medicina, Universidade de São Paulo, São Paulo (SP) Brasil. Editor-Chefe do Jornal Brasileiro de Pneumologia.

Indexes

Development by:

© All rights reserved 2025 - Jornal Brasileiro de Pneumologia