Continuous and bimonthly publication
ISSN (on-line): 1806-3756

Licença Creative Commons
13440
Views
Back to summary
Open Access Peer-Reviewed
Original Article

Comparisons among parameters of maximal respiratory pressures in healthy subjects

Comparação entre parâmetros de pressões respiratórias máximas em indivíduos saudáveis

Cristina Martins Coelho, Rosa Maria de Carvalho, David Sérgio Adães Gouvêa, José Marques Novo Júnior

ABSTRACT

Objective: To investigate four parameters defining maximal respiratory pressures and to evaluate their correlations and agreements among those parameters for the determination of MIP and MEP. Methods: This was a cross-sectional study involving 49 healthy, well-nourished males and females. The mean age was 23.08 ± 2.5 years. Measurements were carried out using a pressure transducer, and the estimated values for the parameters peak pressure (Ppeak), plateau pressure (Pplateau), mean maximal pressure (Pmean), and pressure according to the area (Parea) were determined with an algorithm developed for the study. To characterize the study sample, we used descriptive statistics, followed by repeated measures ANOVA and Bonferroni post hoc test or by the Friedman test and the Wilcoxon post hoc test, as well as by Pearson's or Spearman's correlation coefficients, depending on the normality of the data. The agreement between the variables was assessed with Bland  Altman plots. Results: There were significant differences among all of the parameters studied for MIP (Ppeak = 95.69 ± 27.89 cmH2O; Parea = 88.53 ± 26.45 cmH2O; Pplateau = 82.48 ± 25.11 cmH2O; Pmean = 89.01 ± 26.41 cmH2O; p < 0.05 for all) and for MEP (Ppeak = 109.98 ± 40.67 cmH2O; Parea = 103.85 ± 36.63 cmH2O; Pplateau = 98.93 ± 32.10 cmH2O; Pmean = 104.43 ± 36.74 cmH2O; p < 0.0083 for all). Poor agreement was found among almost all of the parameters. Higher pressure values resulted in larger differences between the variables. Conclusions: The maximal respiratory pressure parameters evaluated do not seem to be interchangeable, and higher pressure values result in larger differences among the parameters.

Keywords: Respiratory system; Muscle strength; Respiratory function tests.

RESUMO

Objetivo: Investigar quatro parâmetros de definição de pressão respiratória máxima e avaliar suas correlações e concordância para medidas de PImáx e PEmáx. Métodos: Estudo transversal com 49 sujeitos saudáveis, eutróficos, de ambos os sexos, com média de idade de 23,08 ± 2,50 anos. As medidas foram realizadas utilizando-se um transdutor de pressão, e os parâmetros foram estimados a partir de um algoritmo matemático desenvolvido para a pesquisa: pressões de pico (Ppico), de platô (Pplatô), média máxima (Pmédia) e segundo a área (Párea). Foi empregada a estatística descritiva para caracterização da amostra, seguida por ANOVA para medidas repetidas e teste post hoc de Bonferroni ou teste de Friedman e teste post hoc de Wilcoxon, assim como correlações de Pearson ou Spearman, segundo a normalidade dos dados. A concordância entre as variáveis foi avaliada pelo método gráfico de Bland  Altman. Resultados: Houve diferenças significativas entre todos os parâmetros, tanto para PImáx (Ppico = 95,69 ± 27,89 cmH2O; Párea = 88,53 ± 26,45 cmH2O; Pplatô = 82,48 ± 25,11 cmH2O; Pmédia = 89,01 ± 26,41 cmH2O; p < 0,05 entre todos) quanto para PEmáx (Ppico = 109,98 ± 40,67 cmH2O; Párea = 103,85 ± 36,63 cmH2O; Pplatô = 98,93 ± 32,10 cmH2O; Pmédia = 104,43 ± 36,74 cmH2O; p < 0,0083 entre todos). Houve baixa concordância entre a maior parte das medidas, sendo as diferenças entre os parâmetros maiores quanto mais elevados os valores pressóricos considerados. Conclusões: Os parâmetros avaliados não são intercambiáveis, sendo as diferenças entre eles maiores à medida que valores pressóricos mais elevados são atingidos.

Palavras-chave: Sistema respiratório; Força muscular; Testes de função respiratória.

Introduction

Chief among the available methods for evaluating respiratory muscle strength is the measurement of maximal respiratory pressures at the mouth (i.e., MIP and MEP), a method that is widely used in clinical practice. The methodological basis for this method of assessment and the first reference values for healthy individuals date from the 1960s.(1,2) Since then, various reference values and predictive equations have been proposed,(3) all having the common characteristic of yielding widely varying results. This can be attributed, at least in part, to differences in methodology across studies.(4,5) Methodological factors influencing the results include the number of maneuvers performed by individuals,(6-8) the choice of mouthpiece(9) and interfaces,(10) the presence of an air leak and the size of it,(11) and the parameters used in order to define maximal pressure.(12)

In 2002, the American Thoracic Society (ATS), in partnership with the European Respiratory Society (ERS),(5) proposed that the methods for measuring maximal respiratory pressures be standardized. Among the proposed recommendations was the use of pressure transducers in place of aneroid manometers, which, despite their historical use, have major limitations.(13) However, the parameters defining maximal pressure as measured by pressure transducers remain a matter of debate. On the basis of the pressure curve generated during the tests, maximal pressure can be defined as the highest pressure value obtained-peak pressure (Ppeak)-the highest pressure value sustained over a minimum period-plateau pressure (Pplateau)-or the highest mean pressure value sustained for one second-mean maximal pressure (Pmean).(4) Because it is more reproducible, Pmean has been recommended over Ppeak.(13) However, that recommendation was not based on evidence, which is why a large study(12) comparing the use of Ppeak with the use of Pplateau for the characterization of MIP was conducted. Although absolute Ppeak values were significantly higher, the two variables were found to be similar in terms of reproducibility. Similar results were reported by other authors for Ppeak and Pplateau,(14,15) as well as for Ppeak and Pmean.(10)

The choice of parameter defining maximal pressure is believed to have a direct influence on the interpretation and reliability of test results. However, we found no studies systematically comparing the use of Ppeak, Pplateau, and Pmean for MIP and MEP measurements. Therefore, the objective of the present study was to investigate four parameters defining maximal respiratory pressures and to evaluate the correlations and agreements among those parameters for the determination of MIP and MEP.

Methods

Healthy young individuals over 18 years of age and studying physiotherapy or physical education at the Federal University of Juiz de Fora, located in the city of Juiz de Fora, Brazil, were selected to participate in the present study after advertisement of the study by word of mouth. After one of the researchers had personally contacted the individuals who were interested in participating in the study, those who met the inclusion criteria were invited to undergo testing, the study sample being therefore a convenience sample. The exclusion criteria were as follows: being a current smoker; being obese, obesity having been defined as a body mass index (BMI)  30 kg/m2; being underweight, malnutrition having been defined as a BMI < 18.5 kg/m2(16); having had upper airway infection in the two weeks preceding data collection(17,18); having reported a diagnosis of lung, cardiovascular, or neuromuscular disease(3); and continuously using oral/inhaled corticosteroids or any other medication that could interfere with skeletal muscle contractility.(19)

The present study was approved by the Human Research Ethics Committee of the Federal University of Juiz de Fora University Hospital (Ruling no. 0121/2009), and all of the participants gave written informed consent.

Initially, we evaluated the anthropometric characteristics of all volunteers (body mass, height, and BMI) using an anthropometric scale with a stadiometer (LD1050; Líder, Araçatuba, Brazil). Subsequently, we measured blood pressure and HR at rest.(20) Because these measurements are highly effort-dependent and with the objective of ensuring the safety of the tests, subsequent testing was performed only if blood pressure was below 180/110 mmHg(10) and HR was below 85% of the age-predicted maximal HR.(10,21)

All of the participants underwent spirometry (MasterScreen PFT; Jaeger, Würzburg, Germany). Volume calibration of the equipment was performed daily, prior to the tests, with a 3-L syringe (Jaeger). We analyzed the following parameters: FVC; FEV1; and FEV1/FVC. All tests were conducted by the same examiner, in accordance with the acceptability and reproducibility criteria recommended by the ATS.(22) We used the reference values reported by Knudson et al.(23)

Maximal respiratory pressures were measured with the individuals in a sitting position and using a nose clip and a scuba-type, semirigid rubber mouthpiece (Jaeger) with an orifice of 2 mm in internal diameter.(5) We used a pressure transducer (EMG System do Brasil Ltda., São José dos Campos, Brazil)-the distal end of which was closed-equipped with a 16-bit analog-digital converter, high-pass filters at a cut-off frequency of 20 Hz, and low-pass filters at a cut-off frequency of 500 Hz (two-pole analog Butterworth filter) and a sampling frequency of 240 Hz. Before data collection, the equipment was calibrated against a water column by the manufacturer. This generated a calibration file, which was saved and used in all subsequent evaluations. Although some of the volunteers reported being familiar with maximal respiratory pressure measurements, none of the volunteers reported having previously used scuba-type mouthpieces during testing. The volunteers were blinded to the objectives of the study, and all tests were conducted by the same examiner.

The decision of whether to measure MIP or MEP first was made by random drawing. For the measurement of MIP, the participants were asked to exhale to RV; subsequently, they were asked to put on the mouthpiece and perform a maximal inspiratory maneuver. For the measurement of MEP, the participants were asked to inhale to TLC; subsequently, they were asked to put on the mouthpiece and perform a maximal expiratory maneuver(24) while supporting the cheeks with the hands. For each variable, there were two learning trials,(3) followed by three test trials.

In order to ensure the reproducibility of the measurements, we established that the difference between the two highest values obtained in the three test trials should not be greater than 10%.(24) If the difference between those values was found to be no greater than 10%, the tests were repeated (a maximum of six attempts) until two reproducible values were obtained. In order to evaluate reproducibility, we used the peak value.(12) Given the possibilities offered by the program used, this was the only parameter that could be objectively measured during testing. In addition, in order to be accepted, the maneuvers had to last  5 s, as determined by a digital stopwatch (Cronobio SW2018; Pastbio, São Paulo, Brazil). This was due to the fact that, during the test trials, some of the volunteers were unable to reach their peak values before 3 s into the maneuver. Furthermore, there should be no air leaks around the mouthpiece while the maneuvers were being performed.(24) The volunteers received strong verbal encouragement from the examiner and were allowed to rest for 1 min or more between trials,(24,25) on the basis of self-reported fatigue.

After the tests, the maximal respiratory pressure curves were selected by the program WinDaq®, version 3.36 (Dataq Instruments, Akron, OH, USA), were saved in electronic format (Microsoft Excel), and were then exported for analysis with the mathematical program Matlab® R2009a (The MathWorks®; Natick, MA, USA, user license having been obtained via FAPEMIG project no. APQ 01284/09), the algorithm having been developed for the present study.

Of the three respiratory pressure curves that met the acceptability and reproducibility criteria for each of the measurements of MIP and MEP, the curve with the highest absolute peak value was used for subsequent calculations, its values being expressed in absolute terms. On the basis of the definitions proposed by Evans and Whitelaw,(4) the parameters Ppeak, Pplateau, and Pmean were calculated. We defined Ppeak as the highest pressure value obtained during testing. We defined Pplateau as the highest pressure value sustained for 1 s. We calculated Pplateau by using a sliding window of 240 samples in length (equivalent to 1 s), thus seeking to identify, along the entire curve, pressure values that were sustained for 1-s intervals, the highest value being selected. We defined Pmean as the highest mean value of the samples within one 1-s interval. We calculated Pmean by using a sliding window of 240 samples in length, thus seeking to identify, along the entire curve, the mean values that were within 1-s intervals. In order to calculate Pmean, we summed all pressure values within the window and subsequently divided each result by 240, the highest value being selected for analysis. In addition to the aforementioned parameters, we calculated the maximal pressure according to the area (Parea), as suggested by Windisch et al.(12) We calculated Parea by using a sliding window of 240 samples in length, the trapezoid method(26) being used in order to calculate the areas. After having obtained all area values within 1-s intervals of the pressure curve, we selected the highest value for analysis. For all cases, maximum values were defined as those obtained at any given time point during testing.

In the statistical analysis, the anthropometric and spirometric variables, as well as the age of the volunteers, were used in order to characterize the sample, being expressed as mean and standard deviation. Data normality was tested with the Kolmogorov-Smirnov test. For variables with normal distribution, we used repeated measures ANOVA, followed by the Bonferroni post hoc test. For variables with non-normal distribution, we used the Friedman test, followed by the Wilcoxon post hoc test with Bonferroni correction (the level of significance being set at p < 0.0083). We also calculated Pearson's or Spearman's correlation coefficients (depending on the normality of the data) for the study variables. For all tests except the Wilcoxon post hoc test, the level of significance was set at 5%. The agreement among the different parameters was evaluated by Bland  Altman plots.(27)

Results

Of the individuals who agreed to participate in the present study, 50 met the inclusion criteria. Of those 50 individuals, 1 was unable to attend all testing sessions for personal reasons, being therefore excluded from the analysis of the results. Therefore, the final sample consisted of 49 healthy individuals (23 males and 26 females). Mean age was 23.08 ± 2.50 years, mean body mass was 66.63 ± 11.05 kg, mean height was 168.9 ± 8.56 cm, and mean BMI was 23.22 ± 2.44 kg/m2. Mean spirometric values (in % of predicted)(23) were as follows: FEV1 = 103.8 ± 11.14%; FVC = 102.47 ± 9.46%; and FEV1/FVC = 98.63 ± 7.11%.

Of the 49 individuals evaluated, 3 reported having smoked in the past. However, all had quit smoking and had spirometric values that were within the normal range, having therefore remained in the study sample.

Table 1 shows the values of the parameters Ppeak, Parea, Pplateau, and Pmean, all of which were obtained during the measurement of MIP and MEP. There were significant differences among all of the parameters defining MIP and MEP. Figure 1 shows the box plots for the study variables.





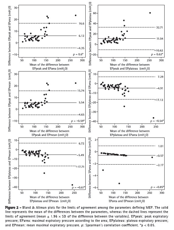
The limits of agreement among the parameters, defined as mean ± 1.96 × SD of the difference between the variables, were calculated by Bland  Altman plots(27) and can be seen in Figures 2 and 3. Visual analysis of the plots revealed a trend toward a relationship of the differences between variables with their mean values. This hypothesis was tested by Spearman's correlation coefficient, and the results are shown in Figures 2 and 3.





Discussion

Previous studies involving healthy individuals(10,12,15) or individuals with chronic lung disease(14) found Ppeak values that were significantly higher than were Pplateau and Pmean values. The results of the present study corroborate those findings, and their clinical relevance is evident because most of the reference values for MIP and MEP published to date are based on Pplateau sustained for 1 s.(4) Therefore, the use of different parameters defining maximal pressures in prediction equations or tables derived from Pplateau values can lead to a misinterpretation of the respiratory muscle strength of the individuals evaluated. However, because the present study involved healthy individuals, further studies are needed in order to determine whether the use of different parameters defining maximal pressure can influence the detection and classification of respiratory muscle weakness in individuals with respiratory muscle impairment.

The calculation of linear correlations among the variables showed that the variables were strongly correlated, with values above 0.9 (Table 2). In fact, given that the different parameters studied were derived from the same pressure curve, it is not surprising that they were found to be strongly correlated. These results are consistent with the reported Ppeak and Pplateau values for MIP.(12) According to the authors of that study, the strong correlation between the two variables suggests that they are interchangeable. However, as was reported in that study,(12) the parameters, although strongly correlated, were statistically different from one another, indicating that choosing one over the other might influence the characterization of respiratory muscle strength in the individuals evaluated.



Regarding the agreement among the parameters investigated (Figures 2 and 3), we found that, in general, there was poor agreement between the study variables, especially between Ppeak and the remaining variables. This was expected, given that there were statistically significant differences among the parameters evaluated. However, the narrow limit of agreement between the variables Parea and Pmean for MIP and MEP is of note. Therefore, the question remains as to whether the difference between the parameters Parea and Pmean, although statistically significant, is relevant from a clinical standpoint, given the strong agreement between these two variables.

The differences between the study variables were significantly correlated with the means of the study variables, indicating that higher pressure values resulted in larger differences between the variables. Therefore, the question is whether the differences among the parameters defining maximal pressure would also be significant in individuals with respiratory muscle impairment, in whom lower pressure values are expected. Further studies are needed in order to answer this question.

Studies aiming at investigating different parameters defining maximal pressure should take into consideration the various methods for calculating the variables. In the literature, Ppeak has been defined as the maximal pressure sustained for 0.01 s after the initiation of pressure recording(14) and as the highest pressure value obtained during the test.(10,12) Pplateau has been defined as the pressure sustained for 1.0 s(14) and as the pressure sustained for 0.5 s.(12) Pmean has been defined as the mean of the pressure values recorded at peak pressure over a 1-s period.(10) Therefore, there is a clear need for standardizing the use of and the criteria for calculating the various parameters defining maximal pressure. However, further studies are needed in order to investigate whether different criteria for calculating the same variable can significantly influence the pressure values obtained.

The limitations of the present study include the reference values for spirometry used in order to characterize the sample,(23) given that the latest reference values for the Brazilian population(28) are, on average, higher than are those proposed by Knudson et al.(23) However, the latter values are similar to those obtained experimentally in a sample of normal individuals in Brazil, the only significant difference between the sets of values being the FVC for males.(29) Therefore, because the mean spirometric values in our study sample were quite similar to or higher than the predicted maximum values, it is unlikely that individuals showing values below the normal range were selected.

Another possible limitation of the present study is related to the number of trials used for measuring maximal respiratory pressures (two learning trials plus three test trials, totaling five maneuvers). In fact, studies involving children with respiratory disorders(8) or adults with chronic lung disease(6,7) found that nine to ten maneuvers are needed in order to measure MIP adequately. However, aiming to bring the results obtained in the present study closer to those obtained in clinical practice, we chose to use the most current methodological recommendations for the assessment of maximal respiratory pressures, i.e., a minimum of three attempts(13) and a maximum of five attempts.(24)

In conclusion, the maximal respiratory pressure parameters evaluated do not seem to be interchangeable, given that there was poor agreement among the parameters (except between Parea and Pmean) and that there were significant differences among them. In addition, higher pressure values resulted in larger differences between the variables. Further studies are needed in order to determine whether the use of different parameters can influence the characterization of muscle strength in individuals with respiratory muscle weakness.

References

1. Ringqvist T. The ventilatory capacity in healthy subjects. An analysis of causal factors with special reference to the respiratory forces. Scand J Clin Lab Invest Suppl. 1966;88:5-179. PMid:4283858.

2. Black LF, Hyatt RE. Maximal respiratory pressures: normal values and relationship to age and sex. Am Rev Respir Dis. 1969;99(5):696-702. PMid:5772056.

3. Parreira VF, França DC, Zampa CC, Fonseca MM, Tomich GM, Britto RR. Pressões respiratórias máximas: valores encontrados e preditos em indivíduos saudáveis. Rev Bras Fisioter. 2007;11(5):361-8. http://dx.doi.org/10.1590/S1413-35552007000500006

4. Evans JA, Whitelaw WA. The assessment of maximal respiratory mouth pressures in adults. Respir Care. 2009;54(10):1348-59. PMid:19796415.

5. American Thoracic Society/European Respiratory Society. ATS/ERS Statement on respiratory muscle testing. Am J Respir Crit Care Med. 2002;166(4):518-624. PMid:12186831. http://dx.doi.org/10.1164/rccm.166.4.518

6. Fiz JA, Montserrat JM, Picado C, Plaza V, Agusti-Vidal A. How many manoeuvres should be done to measure maximal inspiratory mouth pressure in patients with chronic airflow obstruction? Thorax. 1989;44(5):419-21. PMid:2763242 PMCid:461850. http://dx.doi.org/10.1136/thx.44.5.419

7. Larson JL, Covey MK, Vitalo CA, Alex CG, Patel M, Kim MJ. Maximal inspiratory pressure. Learning effect and test-retest reliability in patients with chronic obstructive pulmonary disease. Chest. 1993;104(2):448-53. PMid:8339633. http://dx.doi.org/10.1378/chest.104.2.448

8. Wen AS, Woo MS, Keens TG. How many maneuvers are required to measure maximal inspiratory pressure accurately. Chest. 1997;111(3):802-7. PMid:9118723. http://dx.doi.org/10.1378/chest.111.3.802

9. Onaga FI, Jamami M, Ruas G, Lorenzo VA, Jamami LK. Influência de diferentes tipos de bocais e diâmetros de traqueias na manovacuometria. Fisioter Mov. 2010;23(2):211-9. http://dx.doi.org/10.1590/S0103-51502010000200005

10. Montemezzo D, Vieira DS, Tierra-Criollo CJ, Britto RR, Velloso M, Parreira VF. Influence of 4 interfaces in the assessment of maximal respiratory pressures. Respir Care. 2012;57(3):392-8. PMid:22005049. http://dx.doi.org/10.4187/respcare.01078

11. Mayos M, Giner J, Casan P, Sanchis J. Measurement of maximal static respiratory pressures at the mouth with different air leaks. Chest. 1991;100(2):364-6. PMid:1864106. http://dx.doi.org/10.1378/chest.100.2.364

12. Windisch W, Hennings E, Sorichter S, Hamm H, Criée CP. Peak or plateau maximal inspiratory mouth pressure: which is best? Eur Respir J. 2004;23(5):708 13. PMid:15176684. http://dx.doi.org/10.1183/09031936.04.00136104

13. Green M, Road J, Sieck GC, Similowski T. Tests of respiratory muscle strength. Am J Respir Crit Care Med. 2002;166:528-47.

14. Brunetto AF, Alves LA. Comparação entre os valores de pico e sustentados das pressões respiratórias máximas em indivíduos saudáveis e pacientes portadores de pneumopatia crônica. J Pneumol. 2003;29(4):208-12.

15. Smyth RJ, Chapman KR, Rebuck AS. Maximal inspiratory and expiratory pressures in adolescents. Normal values. Chest. 1984;86(4):568-72. PMid:6478896. http://dx.doi.org/10.1378/chest.86.4.568

16. Associação Brasileira para o Estudo da Obesidade e da Síndrome Metabólica. Diretrizes brasileiras de obesidade. Brasil: Associação Brasileira para o Estudo da Obesidade e da Síndrome Metabólica; 2009.

17. Mier-Jedrzejowicz A, Brophy C, Green M. Respiratory muscle weakness during upper respiratory tract infections. Am Rev Respir Dis. 1988;138(1):5-7. PMid:3202399. http://dx.doi.org/10.1164/ajrccm/138.1.5

18. Volianitis S, McConnell AK, Jones DA. Assessment of maximum inspiratory pressure. Prior submaximal respiratory muscle activity ('warm-up') enhances maximum inspiratory activity and attenuates the learning effect of repeated measurement. Respiration. 2001;68(1):22-7. PMid:11223726. http://dx.doi.org/10.1159/000050458

19. Harik-Khan RI, Wise RA, Fozard JL. Determinants of maximal inspiratory pressure. The Baltimore Longitudinal Study of Aging. Am J Respir Crit Care Med. 1998;158(5 Pt 1):1459-64. PMid:9817693.

20. Porto CC. Exame clínico: bases para a prática médica. Rio de Janeiro: Guanabara Koogan; 2004.

21. Lauer M, Froelicher ES, Williams M, Kligfield P; American Heart Association Council on Clinical Cardiology, Subcommittee on Exercise, Cardiac Rehabilitation, and Prevention. Exercise testing in asymptomatic adults: a statement for professionals from the American Heart Association Council on Clinical Cardiology, Subcommittee on Exercise, Cardiac Rehabilitation, and Prevention. Circulation. 2005;112(5):771-6. PMid:15998671. http://dx.doi.org/10.1161/CIRCULATIONAHA.105.166543

22. Miller MR, Hankinson J, Brusasco V, Burgos F, Casaburi R, Coates A, et al. Standardisation of spirometry. Eur Respir J. 2005;26(2):319-38. PMid:16055882. http://dx.doi.org/10.1183/09031936.05.00034805

23. Knudson RJ, Lebowitz MD, Holberg CJ, Burrows B. Changes in the normal maximal expiratory flow-volume curve with growth and aging. Am Rev Respir Dis. 1983;127(6):725 34. PMid:6859656.

24. Souza RB. Pressões respiratórias estáticas máximas. J Bras Pneumol. 2002;28(Suppl 3):S155-S165.

25. Neder JA, Andreoni S, Lerario MC, Nery LE. Reference values for lung function tests. II. Maximal respiratory pressures and voluntary ventilation. Braz J Med Biol Res. 1999;32(6):719-27. PMid:10412550. http://dx.doi.org/10.1590/S0100-879X1999000600007

26. Santos JD, Silva ZC. Métodos numéricos. Recife: Editora Universitária UFPE; 2006.

27. Bland JM, Altman DG. Statistical methods for assessing agreement between two methods of clinical measurement. Lancet. 1986;1(8476):307-10. http://dx.doi.org/10.1016/S0140-6736(86)90837-8

28. Pereira CA, Sato T, Rodrigues SC. New reference values for forced spirometry in white adults in Brazil. J Bras Pneumol. 2007;33(4):397-406. PMid:17982531. http://dx.doi.org/10.1590/S1806-37132007000400008

29. Duarte AA, Pereira CA, Rodrigues SC. Validation of new Brazilian predicted values for forced spirometry in Caucasians and comparison with predicted values obtained using other reference equations. J Bras Pneumol. 2007;33(5):527-35. PMid:18026650.



* Study carried out at the Federal University of Juiz de Fora School of Physical Education and Sports, Juiz de Fora, Brazil.
Correspondence to: Cristina Martins Coelho. Rua Carlita de Assis Pereira, 30, Bosque dos Pinheiros, CEP 36062-050,
Juiz de Fora, MG, Brasil.
Tel/Fax: 55 32 3215-1385. E-mail: cristina_fisiojf@yahoo.com.br
Financial support: This study received financial support from the Fundação de Amparo à Pesquisa do Estado de Minas Gerais (FAPEMIG, Foundation for the Support of Research in the state of Minas Gerais).
Submitted: 19 December 2011. Accepted, after review: 5 September 2012.



About the authors

Cristina Martins Coelho
Physiotherapist. Federal University of Juiz de Fora, Juiz de Fora, Brazil.

Rosa Maria de Carvalho
Professor. Federal University of Juiz de Fora, Juiz de Fora, Brazil.

David Sérgio Adães Gouvêa
Professor. Federal University of Juiz de Fora, Juiz de Fora, Brazil.

José Marques Novo Júnior
Professor. Federal University of São Carlos, São Carlos, Brazil.

Indexes

Development by:

© All rights reserved 2025 - Jornal Brasileiro de Pneumologia