Continuous and bimonthly publication
ISSN (on-line): 1806-3756

Licença Creative Commons
21980
Views
Back to summary
Open Access Peer-Reviewed
Original Article

Validation of new Brazilian predicted values for forced spirometry in Caucasians and comparison with predicted values obtained using other reference equations

Validação de novos valores previstos brasileiros para a espirometria forçada na raça branca e comparação com os valores previstos obtidos por outras equações de referência

Andrezza Araújo de Oliveira Duarte, Carlos Alberto de Castro Pereira, Silvia Carla Sousa Rodrigues

ABSTRACT

Objective: To compare the most recent (2006) predicted values of forced vital capacity and forced expiratory volume in one second for spirometry in Brazilians with those obtained using other reference equations and to validate the findings through comparisons with a new sample of normal Brazilians. Methods: Forced spirometry was performed, in accordance with the Brazilian Thoracic Society guidelines, in 643 nonsmoking adult Caucasians. The predicted values obtained by Brazilian researchers in 1992 and those obtained by four groups of foreign researchers were compared with the new Brazilian predicted values obtained in 2006. In the second phase, the mean values obtained in 65 adult females and 79 adult males were compared with the predicted values obtained using the various reference equations. Results: A t-test for paired samples revealed significant differences between the predicted values obtained using the six equations and those obtained using the 2006 Brazilian equation. In the second phase, the mean predicted values obtained by Crapo et al., as well as those obtained by Hankinson et al. for Mexican-Americans, were similar to those found in the new sample. However, when the predicted values obtained in the new sample were compared with those obtained by those authors, discrepancies were found, with high and low predicted values. The mean values obtained using the 2006 Brazilian equation presented the smallest differences in comparison with the mean values obtained in the new sample. Conclusions: These results underscore the importance of using prediction equations for spirometry that are appropriate for our population.

Keywords: Spirometry; Reference values; Respiratory function tests.

RESUMO

Objetivo: Comparar os novos valores previstos brasileiros de capacidade vital forçada e volume expiratório forçado no primeiro segundo para a espirometria obtidos em 2006 com os obtidos por outras equações de referência e validar os achados por meio da comparação com uma nova amostra de brasileiros normais. Métodos: Realizou-se espirometria forçada, de acordo com as normas da Sociedade Brasileira de Pneumologia e Tisiologia, em 643 adultos brancos não-fumantes. Os valores previstos obtidos por pesquisadores brasileiros em 1992 e os obtidos por quatro grupos de pesquisadores estrangeiros foram comparados com os novos valores previstos brasileiros obtidos em 2006. Em uma segunda fase, os valores médios obtidos em 65 mulheres e 79 homens adultos foram comparados aos valores previstos obtidos pelas diversas equações de referência. Resultados: O teste t para amostras pareadas revelou diferenças significativas entre os valores previstos obtidos pelas seis equações e os obtidos pela equação brasileira de 2006. Na segunda fase, observou-se que os valores previstos obtidos por Crapo et al. e os obtidos por Hankinson et al. para os méxico-americanos mostraram valores médios semelhantes aos observados na nova amostra. Porém, quando os valores previstos obtidos na nova amostra foram comparados com os obtidos por esses autores, discrepâncias foram observadas, com valores previstos altos e baixos. Os valores obtidos pela equação brasileira de 2006 mostraram as menores diferenças em comparação com os valores médios obtidos na nova amostra. Conclusões: Estes resultados sublinham a importância de se usar equações de predição para espirometria que sejam apropriadas para nossa população.

Palavras-chave: Espirometria; Valores de referência; Testes de função respiratória.

Introduction

The most important step in diagnosing pulmonary function abnormalities is to determine whether the individuals tested are within or outside a reference range. Therefore, the values found in a patient are usually compared with reference values obtained in healthy individuals whose anthropometric indices and ethnic characteristics are similar to those of the individuals tested.(1,2)

Various equations based on predicted values are available in the spirometers marketed in Brazil. However, not all include the equations suggested for Brazilians. Predicted values for spirometry in Brazilians were published in 1992.(3) Recently, new predicted values, which differ from those previously described, have been obtained.(4)

Prior to the availability of Brazilian equations for espirometry, one study compared the values obtained in a small sample of individuals considered 'normal' with the predicted values obtained using foreign equations, and concluded that the former were closer to the predicted values suggested by Knudson et al.(6) The equation devised by Knudson et al. included a small sample of normal males (only 86), the slope of height on age for males being unexpectedly steep, which results in significantly underestimated values in shorter individuals. A comparison between the theoretical values obtained for Brazilians in 1992(3) and those obtained by Knudson et al.(6) revealed that the discrepancies result in the spirometric diagnosis constantly changing.(7) However, various laboratories continue to use the values obtained by Knudson et al. as reference values.

The objective of the present study was to compare the predicted values of forced vital capacity (FVC) and forced expiratory volume in one second (FEV1) obtained using the equations suggested for Brazilians in 2006(4) and in 1992(3) with the most
commonly used foreign predicted values(6,8-10) and to validate the findings of the first phase through comparisons between the values found in a group of normal individuals, of either gender, and those obtained using the various reference equations.

Methods

The study was divided into two phases:
 In the first phase, the new Brazilian values were compared with those obtained using the various reference equations; and
 In the second phase, we selected a second sample whose data were used to validate the previous findings.

In the first phase, the data were obtained in parallel with the Breathe and Live Program, between April and August of 2004. The individuals selected were volunteers presenting for the test, their companions, or passersby. The individuals who comprised the reference sample were selected after responding to a questionnaire based on that of the American Thoracic Society (ATS) Division of Lung Diseases,(11) and smokers or former smokers, individuals with any cardiopulmonary disease, and those who had any current respiratory symptoms were excluded. The values of FVC and FEV1 were obtained using linear equations in 643 Caucasians, 373 of whom were female and 270 of whom were male. We included males over 25 years of age and females over 20 years of age, which are ages at which the slopes of the curves undergo significant modifications.(12)

The individuals underwent spirometry, which was performed in accordance with the Brazilian Thoracic Society (BTS) guidelines.(13) The tests were performed using three fixed techniques, certified by the BTS, with Multispiro spirometers (Creative Biomedics, San Clemente, CA, USA).

In this first phase, the predicted values of FEV1 and FVC suggested for the population in 2006 were compared with the predicted values for Brazilians published in 1992(3) and the predicted values most commonly used abroad.(6,8-10) The various predicted values were calculated taking into account the individual values of age and height found in the 2006 Brazilian study.

The mean differences between the Brazilian predicted values obtained in 2006 and those suggested by the various authors were compared. Graphs were generated in order to determine greater or smaller differences as the Brazilian predicted values increased or decreased.

In the second phase, between December of 2005 and July of 2006, the data were obtained in another sample of Caucasians who were considered healthy. This sample comprised individuals referred for a periodic check up, companions of patients attending a medical visit, and staff members of the São Paulo Hospital for State Civil Servants and of the Diagnostic Center of Brazil. The individual values of age and height found in this new sample were used to obtain individual values predicted by the various equations, including the Brazilian equations obtained in 1992 and in 2006.

The inclusion and the exclusion criteria were similar to those of the first phase.

The individuals underwent spirometry, which was performed in accordance with the BTS guidelines.(13) The tests were performed using various flow spirometers available at the two centers, where pulmonary function tests are performed by technicians certified by the BTS. Quality A tests (differences between the two best values of FVC and FEV1 = 0.15 L, and peak expiratory flow < 10%) were obtained in 97% of the individuals; the remaining tests were quality B (differences between the two best values of FVC and FEV1 = 0.20 L, and peak expiratory flow < 15%).

In the second phase of the study, 65 females (aged between 20 and 77 years) and 79 males (aged between 25 and 80) with heights within the reference range of the comparative equations were included. Table 1 shows the anthropometric characteristics and pulmonary function data.





The present study was approved by the Ethics in Human Research Committee of the São Paulo Hospital for State Civil Servants.

All the statistical and mathematical procedures were performed using the Statistical Package for the Social Sciences program, version 10 (SPSS Inc., Chicago, IL, USA). The values of FEV1 and FVC were compared with the most commonly used foreign predicted values(6,8-10) and with the Brazilian predicted values(3,4) using the t-test for paired samples. The general characteristics of these various studies are compared in Table 2. The mean differences and the 95% confidence intervals between the values obtained in the sample and the predicted values obtained by the different authors were evaluated. Due to the multiple comparisons, the level of significance was calculated using the Bonferroni correction.





Results

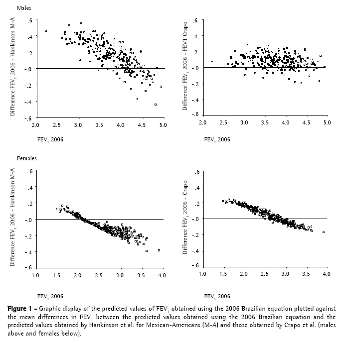
In the first phase of the study, the results for the mean differences in FVC and FEV1 were calculated by subtracting the predicted values obtained using the 2006 Brazilian equation from the predicted values obtained by the various foreign authors and those obtained using the 1992 Brazilian equation (Table 3). In comparison with the equation devised by Knudson et al. and with that devised by the European Community for Steel and Coal (ECCS),(6,10) the predicted values obtained using the 2006 Brazilian equation are, on average, higher. Although the mean differences in relation to the equations devised by Crapo et al., as well as to those by Hankinson et al. for Mexican-Americans,(8,9) seem small, the results differed significantly (except for the equation devised by Hankinson et al. for females). In addition, a small or null mean difference does not mean that great differences will not be found in certain age and height ranges. This can be determined by plotting the mean differences between the various equations and the 2006 Brazilian equation against the predicted values obtained in the 2006 sample. In Figure 1, the predicted values of FEV1 obtained in Brazilians in 2006 are plotted against the mean differences in FEV1 between the predicted values obtained using the 2006 Brazilian equation and the predicted values obtained by Hankinson et al. for Mexican-Americans and those obtained by Crapo et al.(8,9) We observed that, as the predicted values increased or decreased, the differences became significant.









In the second phase, the analysis of the differences between the mean values found in the new sample of normal Brazilians and the predicted values of FVC and FEV1 obtained using the seven equations revealed no significant differences, regardless of gender, for three of these equations: Pereira et al. 2006,(4) Crapo et al.,(8) and Hankinson et al.(9) for Mexican-Americans (Table 4). For the remaining equations, there were statistically significant differences.





The equation proposed by Pereira et al. in 1992(3) underestimated the values of FVC, for males and for females. The equation devised by Knudson et al.(6) underestimated the values of FVC for males (mean difference of 280 mL). The Hankinson et al. equation for Caucasians underestimated the values of FEV1, for males and for females - the biggest difference in FEV1 among all those compared (140 mL) being obtained for females - as well as underestimating the FVC values for females. The equation proposed by the ECCS underestimated all the values, the biggest differences being observed in those of FEV1 for males (220 mL) and in those of FVC for females (360 mL).(10)

Discussion

Various reference value equations have been published in recent decades.(14-16) The values expected for individuals presenting a given combination of

age and height can differ considerably.(15,16) Such variations can be explained by the selection criteria of 'normal' populations, by the equipment used, by the measurement techniques, by the biological variability of the populations, and by the statistical models used in the data analysis. In addition, the values change over time due to cohort effects. These effects can be explained by changes in environmental and nutritional conditions, as well as by technological advances in the equipment used and higher accuracy in measurements. Since reference values are used in medical decisions, cohort effects must be considered a strong argument in favor of updating reference values on a regular basis. Otherwise, the predicted values will gradually lose their sensitivity in detecting abnormal conditions in younger cohorts.

Cohort effects,(17) however, do not fully explain the higher values observed in the present study as compared with the study of another Brazilian sample that was conducted in 1992.(8) Due to the cohort effect, FVC and FEV1 can increase up to 5 mL/year, although the difference observed for FVC between the previous and the present study was three times greater in males.

In the first phase of the study, the differences between the predicted values found for Brazilians in 2006 and the predicted values obtained by the authors selected were statistically significant. The equations devised by Knudson et al. and by the ECCS, compiled by Quanjer et al. based on data from various authors,(6,10) presented the biggest differences, the values obtained in Brazilians being higher.

The ECCS equation,(10) suggested for use in the European Community, undoubtedly underestimates the values obtained in recent European studies conducted in various countries,(14,18,19) which has led to the recommendation that it be abandoned. In the study conducted by Knudson et al.,(6) only 86 males aged between 25 and 85 years were studied, and, unlike in other studies, the data present pronounced asymmetry. The lower limit of the residuals was markedly different when compared using the standard error of estimate and using the 5th percentile, which signifies poor data adjustment. The slope of FVC in relation to height is unexpected, and FVC increased 84 mL/cm of height for males, the values found by various authors being within the 55-60 mL range.(20)

It has been suggested by the ATS that the values obtained in a sample of normal individuals be compared with the predicted values obtained by various authors when local studies are not available.(16) In an unpublished study, Crapo et al. found that, for spirometry, a sample of at least 100 individuals is needed for the detection of significant differences.(21) In one study conducted in Brazil,(5) the predicted values employed in the Knudson et al. equation were compared with those obtained in 50 normal individuals. The authors concluded that the Knudson et al. equation should be adopted for use in Brazil. The data obtained by those authors did not differ from those obtained by Knudson et al. for males, because younger, taller individuals were included in the comparison. For high values of FVC and FEV1, the values obtained by Knudson et al. are close to those obtained by other authors. However, the same is not true for low values, and this is probably due to the inclusion of few shorter individuals, which distorted the regression line, markedly changing its slope.

In the second phase of the study, the mean value of FVC and FEV1 obtained for both genders in the sample of individuals considered normal was similar to the predicted values suggested by Pereira et al. in 2006.(4) The equation proposed in 2006 presented the smallest differences and the lowest values for the 95% confidence interval in comparison with the predicted values obtained by the other authors. In sequence, the values obtained by Crapo et al.(8) and those obtained by Hankinson et al.(9) for Mexican-Americans were the closest to the values observed.

Crapo et al.,(8) in 1981, obtained spirometric values in 251 individuals of a population residing at an altitude of 1400 m, which could have inflated the results. Females aged between 17 and 84 years and males aged between 15 and 91 years were included, and the equations were obtained by linear regression. Comparisons with equations available at the time have revealed that the values obtained by Crapo et al. were usually higher,(3) although the same was not found in a study that included in its comparisons equations that were more recent.(15)

Hankinson et al obtained, through home visits, spirometric values in a sample comprised of residents of 81 American cities.(9) Caucasians, African-Americans, and Mexican-Americans were included. There was a predominance of females (availability bias). To achieve better data adjustment, the reference values and the lower limits were obtained using a polynomial equation, in which the age coefficient was squared, since it was assumed that there would be a progressively larger drop as age increased. The inclusion of age2 in the 2006 Brazilian equation resulted in very low predicted values in advanced ages, with inhomogeneous distribution of residuals around the regression curve, and the classic linear model was chosen.(4)

When the predicted values obtained using the 2006 equation were compared to those obtained by the various authors, the differences in relation to the equations devised by Crapo et al.(8) and by Hankinson et al.(9) seem minimal, despite being statistically significant. However, the amplitude of the differences should be evaluated, and this can be done through the analysis of the standard deviations. Considering the extreme differences as the mean of the differences ± 2 standard deviations, it was determined, through the analysis shown in Table 3, that the differences between the predicted values of FVC and FEV1 obtained in 2006 for Brazilians(4) and the predicted values obtained by Crapo et al. and those obtained by Hankinson et al. for Mexican-Americans can range from approximately 150 to 500 mL. In addition, the differences between the predicted values found and those suggested by other authors should be analyzed graphically, as exemplified in Figure 1. We observed that, although the mean difference was close to zero, there were systematic deviations as the Brazilian predicted values increased or decreased, indicating that, in certain combinations of age and height, the predicted values can be quite different. Regarding the Hankinson et al. equation for Mexican-Americans, which, among the various equations devised by this author, had the smallest difference in comparison with the sample of normal individuals in the second phase of our study, we observed that, although the mean difference was approximately zero when the values were compared with the predicted values obtained in 2006, the differences changed as the predicted values varied: for higher predicted values (observed in younger and taller individuals), the differences became negative, which means that the Brazilian predited values were lower, and, for lower predicted values (observed in older and shorter individuals), the differences were positive, which means that the Brazilian predicted values were higher. This finding was more evident in females. This is explained by the regression models adopted. In the Hankinson et al. equations, the values decrease sharply with age, whereas this does not occur with the Brazilian predicted values.

The comparison with the equations devised by Crapo et al.(8) revealed a similar situation, especially for females, and there was a significant inverse correlation between the Brazilian predicted values obtained in 2006(4) and the differences in relation to the expected values of FVC and FEV1 for both genders (data not shown).

Another means of comparing the different equations is to analyze the standard errors of estimate, which reveal the dispersion of the residuals and are used to establish the reference limits. As shown in Table 2, these values differ very little among the different equations of predicted values, indicating that what has been observed for the comparisons among the means applies to the lower limits.

In the present study, the values of FVC and FEV1 obtained were significantly higher than those observed 14 years ago.(3) In the study published in 1992, a vertical bellows spirometer (Vitalograph, Ennis, Ireland) was used, whereas a Multispiro flow spirometer (Creative Biomedics, San Clemente, CA, USA) was used in the present study. This contrast could explain most of the differences observed.(4,22-24)

In conclusion, the equation proposed by Pereira et al. in 2006(4) presents the smallest differences when applied to an idependent sample of normal Brazilians, thereby establishing its validity for use in Brazil. The values found proved to be higher than those published in 1992.(3) The values employed in the foreign equations differ significantly from the Brazilian predicted values obtained in 2006. Although the equations proposed by Crapo et al.(8) and those proposed by Hankinson et al.(9) for Mexican-Americans present small mean differences when applied to a sample of presumably normal Brazilians in certain age and height ranges, the values can differ significantly, which invalidates the use of these equations in Brazil.

Acknowledgments

We would like to thank the spirometry technicians Eliana Pereira, Elaine Pereira de Macedo, Iolanda Fernandes Mackeldel, Maria Izabel de Castro Pereira, Rosângela de Lourdes Modesto, Rosângela de F. de Oliveira, and Taeko Sato for performing the spirometric tests.

References

1. Pellegrino R, Viegi G, Brusasco V, Crapo RO, Burgos F, Casaburi R, et al. Interpretative strategies for lung function tests. Eur Respir J. 2005;26(5):948-68.

2. Aggarwal AN, Gupta D, Behera D, Jindal SK. Applicability of commonly used Caucasian prediction equations for spirometry interpretation in India. Indian J Med Res. 2005;122(2):153-64.

3. Pereira CAC, Barreto SP, Simões JG, Pereira FWL, Gerstler JG, Nakatani J. Valores de referência para espirometria em uma amostra da população brasileira adulta. J Pneumol. 1992;18(1):10-22.

4. Pereira CAC, Rodrigues SC, Sato T. Novos valores de referência para espirometria forçada em brasileiros adultos de raça branca. J Bras Pneumol. 2007;33(4):397-406.

5. Dias RM. Análise das equações para previsão de valores espirográficos normais. J Pneumol. 1990;16(4):206-11

6. Knudson RJ, Lebowitz MD, Holberg CJ, Burrows B. Changes in the normal maximal expiratory flow-volume curve with growth and aging. Am Rev Respir Dis. 1983;127(6):725-34.

7. Ladosky W, Andrade RT, Loureiro NG, Gandar JMB, Botelho MM. Comparação entre valores espirométricos de referência obtidos a partir de equações de Knudson e de Pereira -Adultos. J Pneumol. 2001;27(6):315-20.

8. Crapo RO, Morris AH, Gardner RM. Reference spirometric values using techniques and equipment that meet ATS recommendations. Am Rev Respir Dis. 1981;123(6):659-64.

9. Hankinson JL, Odencrantz JR, Fedan KB. Spirometric reference values from a sample of the general U.S. population. Am J Respir Crit Care Med. 1999;159(1):179-87.

10. Quanjer PH, Tammeling GJ, Cotes JE, Pedersen OF, Peslin R, Yernault JC. Lung volumes and forced ventilatory flows. Report Working Party Standardization of Lung Function Tests, European Community for Steel and Coal. Official Statement of the European Respiratory Society. Eur Respir J Suppl. 1993;16:5-40.

11. Ferris BG.Epidemiology standardization project: III. Recommended standardized procedures for pulmonary function testing. Am Rev Respir Dis. 1978;118(6 Pt 2):55-88.

12. Burrows B, Cline MG, Knudson RJ, Taussig LM, Lebowitz MD. A descriptive analysis of the growth and decline of the FVC and FEV1. Chest. 1983;83(5):717-24.

13. Pereira CAC, Jansen JM, Menna Barreto SS, Marinho J, Sulmonett N, Dias RM, et al. Espirometria. J Pneumol. 2002;28(supl 3):1-82.

14. Roca J, Burgos F, Sunyer J, Saez M, Chinn S, Antó JM, et al. References values for forced spirometry. Group of the European Community Respiratory Health Survey. Eur Respir J. 1998;11(6):1354-62.

15. Baur X, Isringhausen-Bley S, Degens P. Comparison of lungfunction reference values. Int Arch Occup Environ Health. 1999;72(2):69-83.

16. Lung function testing: selection of reference values and interpretative strategies. American Thoracic Society. Am Rev Respir Dis. 1991;144(5):1202-18.

17. Xu X, Laird N, Dockery DW, Schouten JP, Rijcken B, Weiss ST. Age, period, and cohort effects on pulmonary function in a 24-year longitudinal study. Am J Epidemiol. 1995;141(6):554-66.

18. Brändli O, Schindler C, Künzli N, Keller R, Perruchoud AP. Lung function in healthy never smoking adults: reference values and lower limits of normal of a Swiss population. Thorax. 1996;51(3):277-83.

19. Falaschetti E, Laiho J, Primatesta P, Purdon S. Prediction equations for normal and low lung function from the Health Survey for England. Eur Respir J. 2004;23(3):456-63.

20. Mathur N, Rastogi SK, Gupta BN, Husain T. A global comparison of predicting equations on spirometry in the male population. Int J Epidemiol. 1990 Jun;19(2):331-8.

21. Crapo RO. The role of reference values in interpreting lung function tests. Eur Respir J. 2004;24(3):341-2.

22. Branson R. Flow and Volume Measuring Devices. In: Branson 24. Louw SJ, Goldin JG, Joubert G. Spirometry of healthy adult RD, Hess D, Chatburn RL, editors. Respiratory Care Equipment. South African men. Part I. Normative values. S Afr Med J. Philadelphia: JB Lippincott Co; 1995. p. 283-303. 1996;86(7):814-9.

23. Johns DP, Ingram CM, Khov S, Rochford PD, Walters EH. Effect of breathing circuit resistance on the measurement of ventilatory function. Thorax. 1998;53(11):944-8.
____________________________________________________________________________________________
* Study carried out at the Hospital do Servidor Público Estadual - HSPE, Hospital for State Civil Servants - São Paulo (SP) Brazil.
1. Postgraduate student at the Hospital do Servidor Público Estadual de São Paulo - HSPE/SP, São Paulo Hospital for State Civil Servants - São Paulo (SP) Brazil.
2. PhD in Pulmonology from the Universidade Federal de São Paulo - UNIFESP, Federal University of São Paulo - São Paulo (SP) Brazil.
3. Chief of the Department of Pulmonary Function. Hospital do Servidor Público Estadual de São Paulo - HSPE/SP, São Paulo Hospital for State Civil Servants - São Paulo (SP) Brazil.
Correspondence to: Andrezza Araújo de Oliveira Duarte. Rua Belmiro Pinto Brandão, 55, apto. 402, Mirante, CEP 58104-293, Campina Grande, PB, Brasil.
Tel 55 83 3337-4511. E-mail: amduartecg@uol.com.br
Submitted: 4 September 2006. Accepted, after review: 29 January 2007.


Indexes

Development by:

© All rights reserved 2025 - Jornal Brasileiro de Pneumologia