Continuous and bimonthly publication
ISSN (on-line): 1806-3756

Licença Creative Commons
59217
Views
Back to summary
Open Access Peer-Reviewed
Guidelines SBPT

Smoking cessation guidelines - 2008

Diretrizes para cessação do tabagismo - 2008

Jonatas Reichert, Alberto José de Araújo, Cristina Maria Cantarino Gonçalves, Irma de Godoy, José Miguel Chatkin, Maria da Penha Uchoa Sales, Sergio Ricardo Rodrigues de Almeida Santos e Colaboradores

ABSTRACT

These guidelines are an up-to-date and comprehensive tool to aid health professionals in treating smokers, recommending measures and strategies for managing each case based on clinical evidence. Written in a simplified and objective manner, the text is divided into two principal sections: Evaluation and Treatment. The sections both present comments on and levels of evidence represented by the references cited, as well as some proposals for the reduction of damage and for intervening in specific and still poorly explored situations, such as relapse, passive smoking, physician smoking, and tobacco use in specific environments.

Keywords: Smoking/adverse effects; Smoking cessation/methods; Guideline.

RESUMO

Estas diretrizes constituem uma ferramenta atualizada e abrangente para auxiliar o profissional de saúde na abordagem do tabagista, recomendando atitudes baseadas em evidências clínicas como a melhor forma de conduzir cada caso. De forma reduzida e mais objetiva possível, o texto final foi agrupado em dois grandes itens: Avaliação e Tratamento. Os dois itens apresentam comentários e níveis de recomendação das referências utilizadas, bem como algumas propostas de abordagem, como por exemplo, redução de danos, em situações específicas ainda pouco exploradas, como recaídas, tabagismo passivo, tabagismo na categoria médica e uso de tabaco em ambientes específicos.

Palavras-chave: Tabagismo/efeitos adversos; Abandono do hábito de fumar/métodos; Guia.

Introduction

This update represents the strong commitment of the Brazilian Thoracic Association to smoking cessation. It provides health professionals with a comprehensive instrument to deal with the principal aspects of tobacco dependence. It includes new and effective clinical treatments and highlights changes in procedures in certain situations.

The comparison between this content and that of the previous guidelines shows the significant scientific progress that has been made in this area, even in a short period of time. Tobacco dependence is increasingly acknowledged as a chronic condition that can require multiple interventions. In addition, recent evidence supports the critical role of counseling, in individual and group interventions, as well as in conjunction with pharmacological treatment.

The evidence-based selection method was applied in order to identify appropriate references in the specialized literature. This was followed by critical review by pairs, who ultimately presented their recommendations.

The decision to adopt any of these guidelines should be made by the professional, taking into consideration the resources available in the locale and the specific circumstances of the patient. Although this document describes the principal recommendations in each situation, there is limited space for publishing. Therefore, additional references are provided to those interested in broadening their scientific knowledge on this subject.

These guidelines are an up-to-date and comprehensive tool to aid health professionals in treating smokers, in public or private health care clinics.

This is the role of the government and the public policies to acknowledge smoking as a public health issue, making treatment available to all smokers, either via the Brazilian Unified Health Care System or working in concert with private health care providers.

Guidelines to interpret the level of evidence

There are various parameters for the establishment of guidelines, with small methodological variations depending on the country in which they are created. The methodology used in these Smoking Cessation Guidelines was aimed at standardizing the text related to the diagnostic, therapeutic, and preventive procedures using objective, affirmative language, as well as providing the indications and contraindications for those procedures. When that was not possible, we have demonstrated the lack of scientific information enabling their indication or contraindication.

The references are listed in numerical order according to their appearance in the text, and the strength of recommendation is classified in the text as A, B, C or D, where applicable. The strength of recommendation scoring, which corresponds to the study level of scientific evidence, was based on data available from the Centres for Evidence-Based Medicine, especially the Cochrane Review,(1) meta-analyses and randomized clinical trials, as well as on the recent review conducted by the United States Surgeon General and published in May, 2008.(2)

All strength of recommendation classes, including "D", are based on scientific evidence. The differences between levels of evidence A, B, C, and D result exclusively from the design employed to generate the evidence.

The association between the strength of recommendation and the level of scientific evidence is summarized below:

a) more consistent experimental or observational studies

b) less consistent experimental or observational studies

c) case reports and uncontrolled studies

d) opinion deprived of critical evaluation, based on consensus, physiological studies or animal models

The use of the strength of recommendation associated with the bibliographic citations in the text has as the following principal objectives: to clarify the information source; to stimulate the search for stronger scientific evidence; and to introduce a didactic and simple way to aid in the critical evaluation on the part of the reader, who is the one responsible for making the decisions concerning the patient being treated.

Diagnostic approach

Clinical evaluation

The smoker should be submitted to clinical evaluation upon admission to the smoking cessation program. The objective is to identify functional alterations in the lungs, the existence of smoking related diseases (SRDs), possible contraindications and drug interactions during the pharmacological treatment of the dependence. The profile of the smoker, the level of nicotine dependence and the motivation to stop smoking are also evaluated at this time.

This evaluation (Chart 1) should include accurate clinical history, complete physical examination, and some complementary tests, depending on local diagnostic resources.



Chest X-ray is an essential tool during the treatment. A good physician-patient relationship, together with professional sensitivity and observation skills, will indicate the most appropriate time. Some people are afraid of what they might find, avoiding treatment so that they do not have to face the situation.

The population of smokers seeking treatment includes a range of types: from "healthy" people who are looking for support to stop smoking to those who already present signs and symptoms of SRDs or other comorbidities, including some severely sick people trying to regain their health and quality of life.

The initial clinical evaluation is similar in all groups. However, the approach has to be differentiated, which will be discussed further in this document.

Complementary tests can be useful in motivating patients to stop smoking. When the results are good, try to minimize the patient concern and point out the fact that the best time to stop smoking is before any SRDs appear. If the results are unfavorable, they can be useful as a warning: it is better to stop, avoiding further damage, and try to regain a healthy status. Evidence on the impact of such measures and others in the conduction of cases will also be discussed in later chapters.

Evaluation of the dependence level

One of the first instruments developed to evaluate nicotine dependence was the Fagerström Tolerance Questionnaire (FTQ), which consists of eight questions.(3) Another study suggested an index designated the heaviness of smoking index (HSI), which is calculated based on the interval between waking and having the first cigarette of the day, combined with the daily average consumption of cigarettes.(4)

The HSI was considered in the revision of the FTQ, resulting in the six-question version known as the Fagerström test for nicotine dependence (FTND),(5) which is widely used in the evaluation of nicotine dependence (Chart 2). A total score higher than six points indicates that, probably, the patient will be significantly uncomfortable (withdrawal syndrome) after stopping smoking.(6)

Other criteria that apply in the diagnosis of nicotine dependence are those of the Diagnostic and Statistical Manual of Mental Disorders, Third and Fourth editions (DSM-III and DSM-IV, respectively).(7,8) Except for the nicotine-specific withdrawal symptoms described in the DSM-IV, the dependence criteria are applicable to a wide range of psychoactive substances.



The advantage of the FTQ is that it was specifically developed to evaluate the physical dependence to nicotine. The correlations between FTQ/FTND and the DSM-IV diagnosis of nicotine dependence are weak to moderate, suggesting that these instruments depict different dimensions of nicotine addiction. The DSM-IV criteria are shown in Chart 3.



The items that correspond to the general use of psychoactive substances include the DSM-IV criteria for nicotine dependence, which include tolerance and six other criteria. Therefore, the individuals realize that the behavior of using nicotine has already become a problem that somehow affects their life. As for the FTND, its items are more objective.

It is important to bear in mind the complexity of nicotine dependence, and that instruments are being developed to characterize its principal dimensions. There are as yet no measures of nicotine dependence that incorporate the parameters of the subjacent neuropathological processes and establish its severity.

Other means to evaluate the nicotine dependence are the tests that measure its principal metabolite-cotinine-and the expired carbon monoxide (CO) level. These tests are very useful, when available, to monitor progress in serial evaluations of a smoker. When determining cotinine levels in saliva, serum and urine, the cut-off points for active smokers are 10, 15, and 100 ng/ml, respectively.(9-11) In general, cotinine levels correlate well with the intensity of dependence measured using the FTND.(9,10)

The measurement of expired CO is an easy-to-use, low-cost, noninvasive indicator that provides an immediate result, a cut-off point of 6 ppm demonstrating good specificity to evaluate the smoking habit.(12)

Evaluation of the motivation level

Motivation favors the decision making process, which is also true for drug consumption ­behaviors.­(13,14) Prochaska & DiClemente (1982) developed a transtheoretical model that describes the readiness to change as stages through which the individual passes.(15) This model is based on the premise that every behavioral change is a process, and that people have various levels of motivation, or readiness to change. The stages of change in patients entering treatment to stop smoking are as follows:

 Precontemplation: There is no intention to stop, nor is there even the realization that the smoking behavior is undesirable.

 Contemplation: Although there is awareness that smoking is a problem, there is ambivalence about the perspective of changing.

 Preparation: There is a readiness to stop smoking (when the patient accepts to choose a strategy to change the behavior).

 Action: The person stops smoking (the patient takes action that leads to the behavioral change).

 Maintenance: The patient should learn strategies to prevent recidivism and consolidate the gains obtained during the action stage. At this stage, the process of change can conclude or there can be relapse.

Motivation is an essential condition to start the treatment; its absence practically negates any expectation of abstinence.(16) The style of the professional can also have an influence on smoker motivation.(17,18) Therefore, characteristics such as gentility, authenticity, respect, and empathy are greatly valued.(19)

The motivational interview (MI) is an approach that focuses on the smoker, designed to help resolve the ambivalence related to smoking and change the behavioral stage.(20)

During the MI, a communicative scenario should be built between the patient and the health professional, in order to create a favorable environment for the patient to verbalize conflicts, fears and expectations.

A set of actions (welcoming, listening, demonstrating respect, showing understanding, remaining tranquil, reducing distress, etc.) are essential to understand the ambivalent universe in which the smoker lives.

The practice of these fundamentals can reduce anxiety, on the part of the patient as well as on the part of the health professional.(20) Chart 4 shows the principal differences between classical informative interviews and motivational interviews.



The following are the objectives to be achieved with the MI technique:

 to listen attentively to the needs of the smoker regarding the conflict caused by nicotine dependence(21)

 to give empathic and objective answers that can culminate in positive expectations about abstinence (this should lead to a creative step that promotes change)(22)

 to minimize, in the first interview, the uncertainties and the stress that result from recidivism(22,23)

 to analyze and understand ambivalence as a perturbing element in the decision process(20)

 to individualize the conflicts between smoker and tobacco, between patient and dependence, and between patient and abstinence(20)

 to preserve the value of maintaining the abstinence(20)

For an effective motivational approach, general motivation strategies, such as those described by Miller & Rollnick, should be applied-offer orientation, remove obstacles, provide choices, reduce the value of aspects that lead to the smoking behavior, practice empathy, provide feedback, clarify objectives and help actively.(16)

Building a structured link of trust between the health professional team and the smoker is also extremely important, because smokers are often afraid that they will stop smoking and then relapse.

Evaluation of the genetic profile

Genetic studies have shown that smoking initiation, dependence level, difficulty in quitting, and abstinence maintenance are widely determined by a type of complex inheritance, which involves various genetic polymorphisms. It is estimated that genetic factors are responsible for up to 60% of initiation risk and up to 70% of dependence ­maintenance.­(24,25)

Various polymorphisms have already been identified. However, some are being more widely studied, especially due to the consistency of findings related to different aspects of smoking.

Some genes are related to cellular intercommunication, others to cell adhesion and others to the extracellular matrix. These genes are common to various addictions. This information is consistent with the idea that neuroplasticity and the learning pathways are essential to the differences that appear to explain the vulnerability to nicotine.

Among the various systems, the dopaminergic system has been the most widely studied, and the serotonergic system is also being studied.(26) The polymorphisms in the genes that regulate the monoamine oxidase enzymes (MAO-A and MAO-B) and the polymorphism in the gene CYP2A6, responsible for the transformation of nicotine into cotinine in the liver, are likely involved.(27,28)

Despite this increasing knowledge, the role of inheritance in the daily practice of smoking management remains unclear.

There is still no standardized definition of smoker phenotypes, which would enable the comparison of the results reported. In addition, there is the interaction of the various genes with the environment itself, and the individual experiences of each smoker, as well as the broad superposition of the effects of nicotine on those of other addictive substances, either licit or illicit.(28)

Therefore, the real impact of this knowledge on daily practice, as well as on the evaluation and treatment of smokers, has yet to be established.(29)

Therapeutic approach

Motivational interventions

The methods based on the cognitive behavior therapy (CBT)(15,30) are essential to the approach to smokers in all clinical situations, even when supportive pharmacological therapy is necessary.(31)

Smokers should feel accepted by their physicians, who should treat them with a welcoming attitude of empathy, respect, and trust. There is no "ideal moment" to stop smoking. Even with severe and incapacitating comorbidities, smoking cessation improves the quality of life and self-esteem, which are often impaired by underlying diseases.

The CBT should be offered either in individual or group treatment. The sessions should take place every week during the first month (cessation), once every 2 weeks during the subsequent three months (until the intensive approach is completed) and once a month thereafter, until one year has passed.(32) Support material should be prepared and provided to patients to reinforce the orientation, having as a model the materials prepared by the Brazilian National Cancer Institute for the national program for smoking control.(33)

Precontemplative smokers should be encouraged to think about stopping smoking. It is important to inform them about the bad consequences of smoking, the benefits of cessation, and the risks to the health of those who are indirectly exposed to smoke.

Contemplative smokers should be encouraged to set a date within the upcoming 30 days to stop smoking, if possible. They should identify the reasons that lead them to smoke and how they can overcome them. In subsequent appointments, it is necessary to revisit this subject until they have decided to stop smoking.

When the patient moves into the action stage, the immediate definition of a cessation date should be encouraged. An action plan should be developed with the patient, evaluating the reasons for smoking, as well as outlining strategies for resisting the urge to smoke and learning how to live without smoking. From the cessation date onward, smokers should avoid everything that reminds them of smoking (not carrying cigarettes, ashtrays or lighters; not drinking coffee or alcohol).

In order to fight the craving, smokers should be instructed to drink liquids, suck on ice, chew something (diet chewing gums or candies; ginger, cinnamon, etc.), that is, use oral gratification substitutes.

Strategies for keeping the hands busy, such as writing, typing, sewing and painting, have proven quite useful. These activities reduce the search for pleasure sources related to smoking, obviously characterized by oral and manual satisfaction.

Smokers who are under maintenance should have their progress and difficulties monitored through appointments or telephone contacts to prevent recidivism. Patients need to be aware that smoking is a chronic disease, and that they should not light or take a drag from a cigarette, since this can cause them to start smoking again.

To avoid recidivism, patients should be encouraged to identify risk situations in their routine and devise strategies to deal with those situations. If, for any reason, recidivism occurs, it should be accepted by the professional without criticism, maintaining the atmosphere of trust and support demonstrated previously.

Coping skills training for smokers aims at recognizing risk situations and developing strategies to overcome them, regardless of the motivational stage. The intensive approach, which implies personal and reiterated contact, creates the best opportunity to work on these strategies (level A).(15,33,34)

This component refers to psychosocial treatment intervention (PTI). There is evidence of a dose-response relationship between the PTI intensity and the success rate. All PTI forms, either face-to-face (group or individual) or by telephone, have high cessation and cost-effectiveness rates (level A).­(32,35,36)

The cognitive behavioral techniques help smokers modify their behavioral pattern, avoiding situations linked to recidivism. This is reflected in learning how to resist to smoking compulsivity and in adopting strategies to counter the smoking habit.

Smokers should learn how to recognize withdrawal symptoms and duration, and be prepared to deal with them, especially in their first days without smoking. The principal symptom - craving (imperative desire to smoke) - usually diminishes within 1 to 5 min, and it is important to develop a replacement strategy until this symptom disappears.

Social support consists of reinforcing the motivation to stop, emphasizing the advantages of cessation, increasing self-efficacy, fighting against beliefs and rationalizations surrounding smoking, preventing residual cessation problems (weight gain, irritability, bad mood), and supporting the smoker in resolving ambivalence if the motivation declines.

The social support from friends and relatives is essential in resisting the urge to smoke. A smoke-free environment at the workplace and at home, as well as the act of encouraging other smokers to seek help, greatly contributes to strengthen the recovery.

Strategies to support smoking cessation can be implemented by any individual of the multidisciplinary health team who has been appropriately trained in dealing with patients who smoke.

Chart 5 shows the strategies that are considered effective for smokers in the preparation stage.



Drug therapy

The use of drugs is an additional resource in the treatment of smokers when the behavioral approach is not sufficient due to the presence of a high level of nicotine dependence. The drugs with efficacy evidence are classified as nicotinic or non-nicotinic.

Nicotine replacement therapy (NRT), bupropion and varenicline are considered first-line treatments, whereas nortriptyline and clonidine are considered second-line treatments.

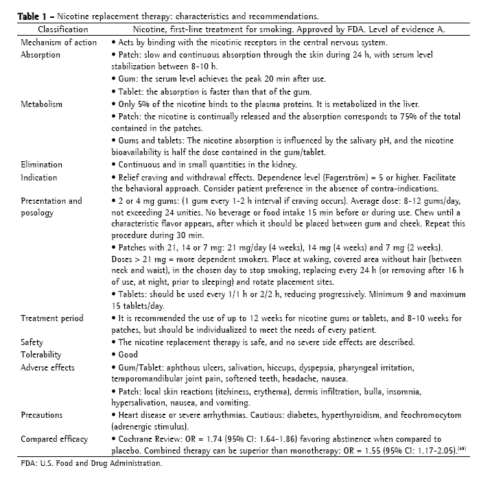
Nicotine replacement therapies

Nicotine, the substance primarily responsible for dependence, has been used in smoking cessation treatments since 1984. The aim of NRT is to replace the nicotine obtained through smoking with lower and safer doses, reducing craving and other withdrawal symptoms.(38)

All NRT forms are efficient in smoking cessation and nearly double the cessation rate in the long term when compared with placebo (level A).(38)

There are two NRT presentation forms: slow release (nicotine patches); and rapid release (gum, oral inhaler, nasal spray and tablets).(39) Although the efficacy of the different presentations is equivalent, adherence to the treatment is higher with patches (level A).(40) All NRT forms release nicotine to the brain in lower quantities and at slower rates than do cigarettes.(41)

The rapid release treatments are more effective in control cravings. However, they carry a higher risk of dependence.(42) They are short-course treatments that allow patients to control their administration according to their needs.(42)

The chewing gum-with alkaline pH-provides nicotine absorption via the oral mucosa. The plasma concentration achieves approximately half the dose existing in the presentation. Preference should be given to 4-mg chewing gum in patients with high chemical dependence level.(43)

The nicotine tablet is more quickly absorbed by the oral mucosa and is simpler than the chewing gum. The difficulties found in gum management (periodontal diseases and temporomandibular joint) typically do not occur when the tablets are used.(44) Currently, only patches and gums are available in Brazil.

The current recommendations concerning NRT indicate that patches, gums, inhalers and nasal spray are efficient in smoking cessation. Therefore, patients should be encouraged to use them (level A).­(2) Nicotine tablets have a strength of recommendation/level of evidence B.(2)

There is some evidence of benefit in the use of patches combined with other forms of nicotine release when compared with the isolated use. These combinations should be considered for patients who do not achieve abstinence using only one replacement form.(45)

The ease in modifying the doses allows the physician to individualize the prescriptions according to patient needs. This makes NRT a good and safe therapeutic option. Smoking abstinence rates are higher when NRT is combined with other treatments, including coping skills training (level A).(2)
The use of NRT in chronic cardiac patients does not increase the risk of acute events.(46) Studies suggest that NRT is well tolerated in these patients, not increasing the severity of cardiovascular disease (CVD).(43)

The NRT dose should be adjusted throughout the treatment. If signs of toxic effects appear (nausea, salivation, pallor, abdominal pain, sweating, headache, dizziness, tremors, etc.), the NRT should be reduced in dose or discontinued. Nicotine intoxication, although rare in adults, can occur when individuals who use the patch continue smoking. In such cases, the drug administration is discontinued and support measures are applied.

When severe symptoms of withdrawal persist, an increase in the level of nicotine replacement is recommended.(43) The number of cigarettes smoked in one day can be used as a guide in determining the initial NRT dose. The use of 42-mg patches appears to be safe for smokers who consume a large number of cigarettes.(47)

Basal evaluation and serial tests of cotinine in serum can be used to adjust the replacement according to each individual.(48) As this alternative is still not available in most facilities, increased periodic monitoring is recommended for patients on high doses of NRT.

When NRT is not effective in motivated patients, its indication, use and dose should be evaluated.(43)

Table 1 summarizes the principal characteristics of and recommendations for NRT use.




Bupropion hydrochloride

Bupropion hydrochloride is an atypical slow-acting antidepressant recommended by the U.S. Food and Drug Administration (FDA) as a first-line drug for the treatment of smokers.(32,37,50-53) Various studies have consistently shown the effectiveness of buproprion in the treatment of nicotine dependence (level A).(54)

Its mechanism could be explained by the reduction in the neuronal transport of neurotransmitters-dopamine and noradrenalin-or the antagonism to nicotinic receptors, leading to a decrease in the compulsion to smoke. Although relevant, the treatment of depressive comorbidity does not completely explain its effect.(55,56)

Bupropion achieves the maximum plasma concentration in 3 h and strongly binds to plasma proteins; it has a half-life of 19 h, is metabolized in the liver, is excreted by the kidney and achieves the a state of equilibrium within five days.(57)

The treatment with bupropion should begin 7 days before the patient stops smoking. The maximum recommended dose for smoking cessation is 300 mg/day.(37,58,59) In case of intolerance to the prescribed dose, the posology can be adjusted. In elderly patients with renal or liver failure, the dose should be reduced to 150 mg/day.(50) The principal characteristics of bupropion are shown in Table 2.



Varenicline tartrate

Varenicline was developed to produce effects similar to nicotine in nicotinic cholinergic receptors.(60) The development of varenicline was based on the alkaloid cytisine, which occurs naturally and has been shown to have a partial agonist effect on the α4β2 cholinergic receptors.(61) Cytisine has been used in the treatment of smokers for several decades, especially in Bulgaria, as well as in other Central and Eastern European countries.(63) At the recommended doses, varenicline has been considered an efficient, safe, and well tolerated drug for patients in the process of smoking cessation. Its regular use has been associated with significantly higher abstinence rates than those achieved with placebo, bupropion, and NRT in controlled ­clinical trials.(63,64)

The partial agonist properties of varenicline, which result in moderate activation of the α4β2 nicotinic receptors, explain the relief of withdrawal symptoms and craving.(61) In addition, blocking the nicotine binding to the receptor, it reduces the satisfaction while smoking, providing negative reinforcement for those who continue smoking while using the drug, due to its antagonist properties.(61) The principal characteristics of varenicline are summarized in Table 3.



Combined therapy

Some combinations of first-line drugs, such as bupropion and NRT, have demonstrated effectiveness in smoking cessation.(2) The results suggest that, although the combined therapy is better than NRT alone, it is only equivalent to the bupropion monotherapy.

Despite the improvement of cessation rates, the extent to which these combinations can be efficient in smoking cessation remains unclear.(53,69) The combinations with proven efficacy are as follows:

 Prolonged use of nicotine patches (> 14 weeks) + other NRT (gum or spray);

 Nicotine patches + nicotine inhalers;

 Nicotine patches + bupropion (approved by the FDA).

Second-line drug therapy

Nortriptyline

Nortriptyline is a tricyclic antidepressant that blocks the noradrenalin reuptake at the presynapse, increasing its concentration in the synaptic fissure. It is considered a second-line drug in the treatment of smokers. The FDA has not yet approved its use for the treatment of smokers.

Evidence suggests that the mechanism of action of nortriptyline in smoking cessation is independent of its antidepressant effect, and its efficacy is similar to that obtained with NRT or buproprion.(54) Its mechanism of action in nicotine dependence remains unknown. It promotes a reduction in withdrawal symptoms, also presenting anxiolytic action and anticholinergic side effects, such as dry mouth, tremors, blurred vision and sedation.(70,71) It doubles the chance of quitting smoking when compared with placebo (OR = 2.34, 95% CI: 1.61-3.41).(54,71) Recent studies have provided evidence that the combined therapy with NRT provides additional long-term benefit.(72,73)

The recommended posology is a single dose of 25 mg/day, gradually increased over a 3-week period until reaching 75-100 mg/day. The "D" day should be established based on the time at which the therapeutic level is achieved, which can take up to 28 days. The treatment period should be three months.

The use of nortriptyline is not recommended in patients with acute myocardial infarction (AMI) or arrhythmias, due to its potential to induce conduction disorders. It is contraindicated in patients with liver failure, epilepsy or psychosis, as well as in breastfeeding women.

Despite the described side effects, nortriptyline can be advantageous as an alternative in the treatment of smokers, because it has less anticholinergic effect than do other tricyclics, lower risk of provoking convulsions and a lower cost.(75)

Table 4 shows the principal studies and results obtained with nortriptyline in the treatment of smokers.




Clonidine

Clonidine is a central alpha-2 adrenergic receptor agonist that is primarily used as an antihypertensive and in the control of nicotine dependence withdrawal symptoms.(70,79)

Meta-analyses show that clonidine as much as doubles the chance of smoking cessation compared with placebo.(80) Comparatively, it is as efficient as NRT and bupropion.(80) However, its use is limited by the high incidence of side effects, such as dry mouth, sedation, sleepiness, orthostatic hypotension, depression, constipation and sleep disorders.­(80)

The recommended dose is 0.1 mg/day, gradually increased until reaching 0.4 mg/day. Patients should be advised to stop smoking two or three days after starting the drug, which should be continued for 3-4 weeks or until the withdrawal symptoms are controlled. The weaning should be gradual in order to avoid rebound hypertension and hypoglycemia. Due to its side effects, clonidine is classified as a second-line drug.

Other pharmacological proposals

Table 5 summarizes the principal characteristics of other drugs used in the treatment of smokers, describing their mechanism of action and observed level of evidence.



Future proposal: immunotherapy

Vaccines against nicotine act by stimulating the immune system to produce specific antibodies that bind with high affinity to nicotine in the plasma and in extracellular fluids.

The nicotine, when binding to the antibodies, cannot cross the blood-brain barrier, due to its size. Therefore, it breaks the vicious cycle of the satisfaction produced at the brain level.

Currently, the principal vaccines being studied are Nic-VAX®, TA-Nic® and Nic-Qb®. The three vaccines, now being tested in phase II and III clinical trials, seem to be safe and well ­tolerated.­(92) Although the protocols were different and the samples were small, studies involving these vaccines indicate that they represent a potentially effective therapeutic and preventive method of treating nicotine ­dependence.­(93)

Other non-pharmacological interventions

The treatment of smokers involves additional strategies that can be incorporated into the routine of many professionals. However, some of them are still being tested. The principal strategies are described below:

 Over The Counter (OTC) Devices: Smoke-free inhalers, nicotine filters, tobacco extract gel and other devices have been marketed without prescription, although without any good quality methodological study showing a favorable response.(94)

 Self-help materials and brief counseling: Both increase smoking cessation rates. Brief counseling should be practiced by all health professionals. These techniques allow us to reach a significant number of smokers and create an important opportunity to promote cessation.(95-97)

 Individual and group intensive counseling: Both present treatment efficacy, however, there is still no conclusion as to which presents better cost-effectiveness (the psychological counseling heterogeneity makes it difficult to compare studies). Intensive individual counseling provides the best results when performed by physicians, followed by multidisciplinary teams, dentists and nurses.(98,99)

 Treatment via the Internet: The initial evidence indicates a possible benefit, however, new studies with appropriate methodology are necessary to obtain a better definition of its role.(100,101)

 Oriented physical activity: Engaging in physical activity during smoking cessation attempts has been shown to relieve nicotine withdrawal symptoms, which makes it a recommended alternative. However, there is still no evidence of long-term benefits.(102)

 Acupuncture, Hypnotherapy, Laser Therapy, Electrostimulation, and Biomedical Risk Evaluation (measurement of expired CO levels and spirometry): There is still no scientific evidence that these methods increase the smoking cessation rates, which makes their recommendation impossible based on the current knowledge.(103-105)

 Treatment by telephone (helplines/quitlines): There is evidence that counseling by telephone is useful as an adjunct to the face-to-face approach. However, its benefits have been described only for some smoker profiles and the magnitude of those benefits remains unclear. Even though the studies carried out exclusively with helplines/quitlines have not been randomized, there is indirect evidence of positive results in smoking cessation.(106,107)

Approach to specific groups/situations

Women

There are 250 million female smokers in the world, with alarming estimates that indicate the doubling of this number by 2020.(108) Of these, 200 million will die prematurely. In addition, cumulative data suggests that the risk of developing cancer, chronic obstructive pulmonary disease (COPD), and coronary ischemia is higher among women and that this higher susceptibility is associated with genetic and hormonal alterations.(109)

The increasing COPD prevalence in women has modified the stereotype that this disease is associated with elderly men. In women, COPD develops after less smoking exposure, occurs earlier and is more severe, projected mortality rates therefore being on the rise.(110) In the United States, the prevalence of cancer in women has increased rapidly and, more recently, has shown a tendency toward stabilization.

The women who developed lung cancer are in lower age brackets, smoke fewer cigarettes, and inhale less deeply in comparison with men.(111) A higher risk of lung cancer has been demonstrated in nonsmoking Japanese women whose husbands smoke.(112)

The risk of AMI, osteoporosis and fracture is increasing among women under the age of 45 who smoke a higher number of cigarettes.(110)

The use of the feminine image as a target of cigarette advertising has been a decisive factor in the global increase in the prevalence of smoking among women. Advertising materials exploit values and aspects specific to the feminine universe: behavior patterns, mood disorders, fashion, beliefs, weight expectations, social acceptance, etc.(108)

There are other questions that hinder the approach to the female smoker: the nicotine metabolism is slower, the genetic basis of nicotine response in the nervous system is different, and the principal symptoms of withdrawal syndrome are more common among women.(113)

Women smoke more cigarettes with reduced concentrations of nicotine, receive more medical counseling and more often believe that smoking causes cancer.

Among the reasons for smoking, women cite a great feeling of pleasure and relaxation. As obstacles to cessation, they mention the fear of gaining weight and the difficulty to deal with the stress without smoking.(108)

It is therefore important to consider, during the approach to the female smoker, the recommendations specific to this population:(114-116)

 to monitor the symptoms reported (depression and anxiety)

 to reinforce measures to avoid unexpected weight gain (eating
reorientation, exercises)

 to consider specific strategies in behavioral approach aiming at increasing the motivation and the coping skills

 to personalize (individualize) the drug approach

 to monitor the use of oral contraceptives

 to evaluate cardiovascular risk factors

 to consider the impact of cessation on fertility, physical aspects (acceleration of the aging process), early menopause and osteoporosis

 to warn of the maternal and fetal risks of smoking when planning a pregnancy

Pregnant women

Fetal exposure to maternal smoking is the most serious example of passive smoking. Approximately 60 studies involving a total of 500,000 pregnant women showed, with strong evidence, that neonates born to female smokers present lower birth weights than do those born to nonsmoking women (mean reduction of 200 g) and are twice as likely to be born prematurely.(117)

There is evidence that the exposure of nonsmoking pregnant women to environmental tobacco smoke (ETS) also reduces birth weights (by an average of 33 g).(117) The risk of other undesirable outcomes (placenta previa, ectopic pregnancy, spontaneous miscarriage and sudden infant death) is also higher in pregnant smokers.(117)

A decrease in the pulmonary function of neonates born to female smokers can contribute to the development or aggravation of asthma during the lifetime of these children, as well as increasing their susceptibility to bronchial hyperreactivity and predisposing them to COPD in adult life.(3) Smoking is one of the few avoidable causes of these outcomes.

Interventions during pregnancy have a high cost-effectiveness relationship in preserving life and reducing damages to health. The highest smoking cessation rates in women occur during pregnancy. However, only one-third remain abstinent after one year, a fact that demonstrates the importance of interventions to avoid recidivism.(37,118,119)

A meta-analysis of 64 studies involving a total of 20,000 pregnant women showed a significant smoking reduction during pregnancy in the group that received early intervention to stop smoking (RR: 0.94; 95% CI: 0.93-0.95).(118)

The 16 trials that contained perinatal information revealed that smoking cessation provided a decrease in low birth weight (RR: 0.81; 95% CI: 0.70-0.94) and premature birth (RR: 0.84; 95% CI: 0.72-0.98), and an overall increase in birth weight (11-55 g). However, the results of interventions in recidivism did not show a statistical significance (RR: 0.80; 95% CI: 0.63-1.03).(118)

The following recommendations should be considered when approaching this special group of patients:

 Orientation: Brief counseling and coping skills training to avoid recidivism should be part of the prenatal routine (level A). Pregnant women should be instructed to stop smoking without taking any drug, whenever possible.(37,118,119)

 Information: Provide clear, accurate, and specific information, as early as possible, about the risks to the fetus and the pregnant woman, with the recommendation to stop smoking (level A).(37,118,119)

 Interventions: Provide intensive interventions with trained specialists whenever possible (level A).(118)

 Drug therapy: The use of NRT during pregnancy depends on each case.

The drug risks (potential toxicity to the fetal central nervous system) should always be considered in relation to the possible benefits obtained with cessation. Rapid release forms, such as nicotine gum (level C), should be preferred. The NRT discontinuation should be strongly recommended if the pregnant woman starts smoking again.(119) According to international guidelines, there are benefits to the mother and the fetus if NRT results in smoking cessation (level C).(37,119) According to the evidence currently available, bupropion and varenicline are not recommended for the treatment of smoking in pregnant women;(118)

 Follow-up: The interventions should be offered throughout the pregnancy due to the benefits to the pregnant woman and the fetus that can result from abstinence in any pregnancy stage (level B).(37,118.119)
It is estimated that 40% of pregnant women stop smoking spontaneously. First, for the health of the child and second, for their own health. Interventions are indicated for those who continue smoking because, in general, they present a higher level of psychosocial problems and nicotine dependence.(37,118,119)
The choice between individual or group counseling should be made by the pregnant woman. Materials developed specifically for pregnant women reinforce this information.

The following are some relevant considerations in the approach to the female smoker(118,119):

 The most efficient intervention in maternal smoking is to prevent its initiation and stimulate cessation in young women before they get pregnant, through actions such as prohibiting smoking in public places, increasing the price of cigarettes, stimulating the practice of sports and implementing smoking cessation programs, even in the workplace.

 Pregnancy should be an opportunity for interventions, aiming at maternal and fetal health, and also for the woman to stop smoking for the rest of her life.

 More studies are necessary to define the safety and efficacy of the drug therapy during pregnancy, including the risk/benefit relationship as a result of the level of nicotine dependence and the drug.

Smoking physicians

Physicians, who dedicate their lives to caring for one of the greatest world heritages, paradoxically, dedicate little space to taking care of their own life. In smoking, the situation follows the same rule.

Although most physicians know the efficacy of smoking cessation techniques, the common place is "we know dependence exists among our peers, but we do not know how to approach them effectively". It is not by chance that there have been no studies involving smoking physicians (SPs). In Brazil, there is still a considerable degree of smoking among physicians.(120-123) For these guidelines, we enlisted a panel of 12 pulmonologists with experience in SPs.
They treated ten colleagues for a mean period of eight years. The information revealed that the physicians became dependent during adolescence; they are not very sensitive to changing their behavior; and they live in conflict for knowing the harmful effects of tobacco.

The SPs see smoking as a "habit" that, somehow, they can control or quit at any time. Nonsmoking physicians, however, view it as a dependence that needs to be treated.

Most SPs (83%) state they do "in fact" know the risks. The reasons why they smoke are identical to those of the general population, to which the stress of their profession is added. The dependence, the compensations to deal with the stress and individual features are factors that contribute to their continued smoking.

The SPs do not typically seek professional help for many reasons: fear of exposure; fear of failure; believing smoking is a "habit"; delusions of invulnerability; not taking care of their own health; and difficulty in accepting their dependence.

When they seek help, they do it informally or casually. Except for the perception that they are models of behavior, the reasons that SPs seek treatment are not different from those observed in smokers in general: having experienced a limiting situation (e.g., an AMI); being afraid of developing a disease; and concern about their quality of life.

The approach should be similar to that of other smokers-smoking is dependence-and the professional support is essential for cessation, maintaining contact for a longer period. Their life status should be taken into consideration-tensions, fears and anxiety level. As most stress situations for SPs have also been experienced by their attending physician, this is a field to be explored in behavioral counseling.

Self-medication and inappropriate drug management are obstacles to treatment, often started by SPs before they decide to seek help. In general, SPs are refractory to sensitization, except when they are motivated (when they seek help spontaneously). However, trying to convince unwilling physicians to stop smoking has proven to be quite a difficult task.

Some allies in breaking through SP ambivalence are social and familiar pressures, a smoke-free workplace, and the level of awareness that physicians are models of behavior. The most efficient motivational strategies in the SP approach are those that explore the behavioral changes, focusing on the quality of life, the benefits of cessation and the weight given to the health of physicians in the role of "caretaker"-responsible for the health of their patients.

Drug therapy is the principal type of help sought by SPs. They rarely comply with behavioral counseling group therapy. The fear of having a disease, the appearance of respiratory symptoms or failing in the attempt to stop smoking alone lead SPs to seek professional help.

According to the panel of specialists, SP receptiveness or response varies greatly according to the therapeutic approach proposed: almost null for group treatment; low to moderate for motivational strategies, individual approach and cognitive-behavioral intervention; and high for pharmacological approaches. For these specialists, regardless of the kind of treatment, SP adherence to the treatment is usually low to moderate.

The SP response is good either with NRT or bupropion or varenicline, alone or combined with nicotine patches. The cessation rates are similar to those of other smokers: 30-70% (12 weeks) and 18-40% (52 weeks).

The average recidivism rate in six months was 45%, often due to conditioning, lapses, withdrawal symptoms at work, alcohol consumption, and stressful situations.

The specialties presenting the greatest difficulty in quitting smoking were surgery, psychiatry, cardiology and anesthesia. According to the panel of specialists, the principal barriers to treatment success were low compliance (irregular frequency, not following the protocol), difficulty in altering life style, delusions of omnipotence and self-sufficiency.

Although the sample of SPs treated by pulmonologists has been small, which does not allow us to generalize the results, the experience revealed in this panel serves as a snapshot of physician dependence and suggests some recommendations on how to approach the SP.

Finally, one of the specialists asks, "Does the approach to a smoker need to be only because he or she is a physician?"-or rather, do physicians who do not adequately care for their own health deserve to be treated differently? Practice will tell us.

Children and adolescents

The ETS from cigarettes, especially in the home, directly affects very young children, which was confirmed by the presence of urinary ­cotinine.­(124) Therefore, it is important to emphasize some aspects that justify smoking prevention and treatment in pediatric populations:

 There is a clear association between high levels of cotinine and wheezing, school days missed, and decreased pulmonary function.(125,126)

 Smoking during pregnancy accounts for 25-40% of the sudden infant death cases. It is considered one the principal avoidable risk factors of this disease.(37)

 Respiratory symptoms are the most common manifestations presented by the children of smokers, with a significant increase of 38% in the frequency of bronchitis and pneumonia in their first year of life.(127,128) Such children are four times more likely to be ­hospitalized.­(126) Pediatric asthma patients exposed to ETS present increased frequency and severity of attacks. Intrauterine exposure can also affect lung development and increase the risk of developing asthma.(129,130)

 Guidelines for the management of asthma recommend the elimination of tobacco smoke from the home.(131)

Physicians should ask pediatric and adolescent patients (as well as their parents) about tobacco use, and should transmit a strong message about the importance of total abstinence (level D).

The medical appointments of children whose parents smoke are an opportunity to offer counseling and interventions for smoking cessation, in order to limit the exposure of these children to passive smoke (level B).

The minimal approach allows, at every contact with a smoker child or adolescent, to evaluate the motivation level and determine the best therapeutic orientation.

The motivational approach-the recommended method of treating children and adolescents-should follow the same general orientation given to adults (level
B) as described in these guidelines, although with some peculiarities:

 There have been few trials with pharmacological interventions, and no efficacy has been demonstrated for children and adolescents who smoke (level B).

 The behavioral intervention shows a demonstrated efficacy in nonrandomized studies with short follow-up periods (level D).

 The content of behavioral interventions should be modified to adapt to the target audience development level (level D).

 Difficulties related to the approach and to the interruption of follow-up treatment are the principal problems of trials involving smoking adolescents.

 Adolescents should be monitored in specific groups, separate from adults, because the reasons to smoke and to stop smoking, as well as the observed difficulties, are different (level D).

 There have been no studies indicating that NRT, bupropion or varenicline can be safely administered at these ages (level B).


The elderly

The average prevalence of smoking among elderly individuals is 26% (40% in men and 12% in women).(134,135) Various factors have been cited as smoking facilitators in this population: living with another smoker; being unemployed or looking for a job; alcoholism; depression; lack of religious activities; higher risk of low satisfaction in social relationships; and other negative findings related to the quality of life.(133-135) Chart 6 shows the factors that make cessation difficult and the predictors of successful treatment in this population.(134,136-140)



Among the benefits of smoking cessation in elderly individuals are decreased risk of developing an illness, better control of the evolution of a preexisting disease, improved quality of life and increased life expectancy.(141-143) The treatment success rates in elderly individuals do not differ from those of other age groups, ranging from 23% to 32% after one year of cessation.(142)

The therapeutic approach should be adapted to the characteristics of this population. For example, the elderly typically have higher self-esteem (contrary to what the majority of health professionals believe) and lower social demands (low expectation from the social circle).

Although elderly individuals consider themselves more apt than young individuals, they lack "enthusiasm" for new challenges. They have great difficulty in overcoming obstacles and promoting changes. Therefore, reinforcing their self-efficacy is a behavioral intervention that should be used extensively. In addition, their learning process is slower, which requires reinforcement and detailing of interventions, as well as group training in coping skills.(142-144)

The elderly usually have fewer social relationships. Therefore, group treatment should be the approach of choice, expanding their relationships, affective connections and interdependence.

There is no evidence that groups composed exclusively of elderly individuals present benefits. The participation of other age brackets should be promoted, favoring the dynamics and enriching the conversations.(142,144)

Concerning drug therapy, the use of NRT through transdermal patches does not increase the incidence of adverse effects, neither the risk of cardiac complications, even in patients with chronic coronary disease.(143,144) The rotation of patches should be reinforced due to frequent reports of skin lesions (dry skin and loss of dermal elasticity). It is important to remember that dental prostheses can make the use of nicotine gum difficult, thereby reducing adherence to the proposed therapy.(133,142)

The nicotine pharmacodynamic does not differ in healthy elderly individuals. However, its elimination is impaired in patients with renal insufficiency. Dose adjustment should be considered in these patients. The same is recommended for bupropion, which can be reduced to 150 mg/day. In the case of varenicline, severe renal insufficiency contraindicates its prescription. Nortriptyline and clonidine have undesirable effects more often in elder patients.(144)

It should be borne in mind that elder individuals can be motivated to stop smoking by reinforcing the awareness of modern society of the importance of their role in the family as a source of wisdom and affection for children and adolescents and, consequently, their role as a model of behavior for future adults.(144)

Hospitalized patients

Smoking-related diseases constitute one of the principal reasons for hospital admissions, and smoking cessation definitely contributes to a decrease in morbidity and mortality rates (level A).­(144) During hospitalization, patients are forced to abstain from smoking-due to the prohibition in hospitals-usually without any instruction or preparation, regardless of their motivational stage.

Large international studies emphasize the dimension of the problem of smoking management in hospitalized patients:

 25% of patients smoke in the hospital.(32)

 55% of patients report nicotine withdrawal symptoms.(32)

 Only 6% of smokers receive nicotine replacement,(147,148) of which 45% relapse on the first day after discharge and 63% relapse within the first week.(144)

The treatment of smokers in the hospital is not very different from the treatment given to smokers treated as outpatients, although hospitalized smokers are often more susceptible to messages designed to sensitize them against smoking.(147)

A hospital intervention of longer than 15 min, combined with outpatient follow-up treatment for longer than one month, increases the smoking cessation rates (OR: 1.81; 95% CI: 1.54‑2.15) (level A).(148,149) The nursing team intervention during hospitalization, together with follow-up evaluation, usually by telephone, for a few weeks after discharge, also increases cessation rates (level A).(150)

The combination of counseling and nicotine patch for 6-12 weeks after discharge increases the cessation rate when compared with counseling alone during hospitalization (level A).(151-153) As mentioned previously, NRT is safe in stable cardiac ­patients.­(154) The principal predictors of smoking cessation in hospitalized patients are as follows: advanced age; willingness to stop smoking; interval between waking and smoking the first cigarette of longer than 5 min; number of previous attempts lower than three; more than 7 days without smoking before hospitalization; strong intention not to smoke, and not presenting difficulty in not smoking during hospitalization.(155.156)

The basic recommendations for the treatment of smoking in hospitalized patients are adapted from outpatient guidelines, the most important being the following:

 identifying and registering smokers upon admission

 characterizing their smoking patterns

 identifying their motivational stage

 providing individual counseling on smoking cessation

 providing assistance to help patients avoid smoking during hospitalization

 identifying and treating withdrawal syndrome

 giving special attention to the use of drugs in cardiac and elderly patients,
as well as in other special groups, due to their adverse effects and interactions

 providing support after discharge, at least by telephone, for at least four weeks(148,151-153)

 referring the more dependent patients, especially those who smoked during hospitalization, to specialized groups

 identifying and treating smokers prior to elective admissions
Smokers with psychiatric comorbidities

The prevalence of smoking among individuals with psychiatric disorders and other substance abuse disorders is, on average, two times higher than that observed in the general population, and such individuals typically consume large quantities of cigarettes on a daily basis.(157-160)

The prevalence of depression is often higher among smokers, and depression is more closely associated with the intensity of nicotine dependence than with the fact of being a smoker, that is, the prevalence of depression is higher among smokers that are more dependent.(161) In addition, the mortality rates of smoking-related diseases, especially CVD, is higher among patients with schizophrenia.(162)

The treatment of nicotine dependence in individuals with psychiatric disorders or other substance abuse disorders is very important. However, the treatment of smokers is not inserted in many facilities that treat other substance abuse disorders, and often these patients are discouraged from attempting cessation due to their concern with the difficulty of treating various substance abuse disorders. The idea that the intervention could compromise their sobriety in relation to the primary cause is widely disseminated.(157,158)

Review data show that the variables that affect the cessation and abstinence rates in patients with other substance abuse disorders are similar to those verified in the general population.(163)

Recent studies confirm the existing recommendations, according to which patients with mental disorders and alcohol dependence should receive the smoking cessation treatment recommended to the general population.(159,164)

Smoking cessation by health professionals who treat patients with mental disorders can become positive models for those patients and increase their willingness to develop smoking cessation interventions.(163)

A systematic review that evaluated the association among alcoholism, nicotine dependence and smoking cessation showed that, although smokers with a history of alcoholism are more nicotine dependent and are less likely to stop smoking without help, they have the same cessation chance during intervention when compared with the general population.(158) However, it was not possible to draw conclusions regarding the behavior of alcoholic smokers or whether they make less attempts to stop.(158) The influence and the mechanisms by which depression plays a role in smoking cessation are not defined. A meta-analysis showed that a history of major depression did not increase the risk of recidivism in the short and long terms, and there was no difference between genders.(165)

It has been suggested that, in some smokers, smoking cessation causes an episode of major depression, which, consequently, causes recidivism. However, these studies are not consistent and show a very heterogeneous behavior among smokers with depression, depressive symptoms during cessation increasing in some and decreasing in others. Therefore, the evolution of smokers with depression during cessation is variable.(161)

Identifying patients who will need more intensive interventions at the beginning of the approach is difficult. Although a single episode of major depression alone is not predictive of recidivism, recurrent episodes of major depression and the level of depression immediately before cessation seem to be.(161)
Therefore, smokers with depression should be evaluated in terms of the intensity of their depressive symptoms before and during intervention to identify those who present a higher risk of recidivism.

Smokers with depression can benefit from CBT for depression, from more intensive smoking cessation interventions and from adjustments in the antidepressant doses.(161)

Another controversial point is whether the cessation attempt should be made simultaneous to or after the treatment of the underlying dependence. A recent study indicates a significant increase in smoking abstinence in the short term among dependent patients under treatment or recovery who were submitted to treatment for smoking, when compared with controls.(157)

The same study revealed that the effects of treatment were greater among those who received CBT associated with NRT. However, the effect of the intervention was no longer observed in the long term. There was also no difference between dependent patients under treatment and those in recovery in terms of the effect of the intervention. However, the cessation rates were three times higher among the patients under recovery, in the short and long term.(157)

In addition, it was observed that the smoking cessation interventions were associated with a significant long-term increase in sobriety related to the underlying condition. These findings suggest that smoking cessation interventions can promote permanent sobriety, even if smoking abstinence is
not achieved in the long run.(157) Chart 7 summarizes the recommendations for treating smoking in patients with psychiatric comorbidities.



Smokers with other comorbidities

Chart 8 describes other pathologies that are aggravated by smoking. The treatment of smokers presenting any of these conditions follows the recommendations outlined in the specific chapter of this consensus.



Smokers in relapse

Recidivism is a natural phenomenon in the cycle of any dependence. Most smokers make between three and ten attempts before achieving definitive abstinence. Temporarily changing undesirable behavior is easier than maintaining that change, adopting it as a life style in the long term.

This is a continuous and complex process that involves individual, situational, philosophical and sociocultural factors. Among such factors are alcohol use, weight gain, depression, affective losses and severe withdrawal. Depression is one of the principal causes, because it is often masked by tobacco use. Recidivism is higher in the first six months, with or without drug therapy.(185)

Tobacco use recidivism is the last event in a long series of badly adapted responses to external or internal stress factors/stimuli. Recidivism might not lead to a complete retake of the tobacco use, and can result in a new search for treatment.(186)

The lapse, differently, leads to the substance use and might not result in recidivism. The methods based on coping skills training to prevent recidivism see lapse as a more common occurrence during recovery, and a learning opportunity for smokers to improve their strategies to deal with these situations.(185)

Prevention is based on the development of capabilities to deal with the problems that make abstinence difficult to maintain. CBT is critical to smoking recovery and prevention through tasks performed still in the action stage.(186)

The objective is to learn how to deal with the "triggers" and the craving. A "trigger" is a stimulus that precipitates and leads to the use of the drug: people, objects, places, occasions, dependence to other substances, and negative emotions.(2,185)

In many cases, the smoker will need social support. The monthly follow-up, either face-to-face or by telephone, after the intensive approach is critical to recidivism prevention.(36)

It is recommended that all patients under intensive approach are evaluated in terms of their abstinence level at the end of the treatment and in subsequent contacts.(36)

Abstinent patients should be aware of the success of their cessation attempts, and professionals should reinforce their assistance to those who have problems related to cessation (level D). Recurrent patients should be evaluated in terms of their willingness to make a new attempt (level C). When the patient is motivated, he/she should be encouraged to make a new treatment. The drug should be offered to the patient again, if appropriate. If the last attempt included the use of drugs, it is important to determine if it was useful. Based on this evaluation, the physician might recommend the retreatment with the same drug, combine it or replace it.(36,185)

Recurrent patients who are not ready to make a new attempt should receive brief intervention to increase the probability of future attempts (level A).­(186)

The recidivism treatment should include: planning, interview, CBT sessions, commitment, and discussion about the cessation of other drugs (alcohol). Based on the Prochaska & DiClemente stages of behavioral change, the approach is focused on the identification, anticipation, and prevention of risk situations, as well as the smoker training to manage these situations.(2,16,36)

The sessions should be weekly, following the CBT patterns described in the topic about motivational interventions in this document. The Marlatt & Gordon method is a scientific model, validated and employed in drug-addiction, which address recidivism as a continuous and complex process involving individual, situational, physiological, and sociocultural factors.(2)

Recidivism is a milestone in the treatment of the smoker and should be emphasized by the physician in order to increase the self-esteem of the patient.

The experience of treatment failure, if not worked out between professional and patient, can result in frustration, leading the patient to harbor negative thoughts and lose self-esteem.

The professional should not assume a defensive, reactive or recriminatory attitude, since this could widen the gap in the physician-patient relationship. Recidivism should represent a new opportunity to the patient and the physician, so that they can practice the art of care until they achieve total abstinence. Therefore, the professional attitude should be welcoming and flexible, not imposing high expectations, not confrontational and not judgmental.(2)

Medical science is complex, mysterious and beautiful. Its state of the art is to protect life in any situation. Even when a disease cannot be eliminated, or the cure cannot be achieved, doing everything possible to relieve the suffering refines and dignifies the physician-patient relationship. For the relapsing patient, this is a new opportunity for him/her and the physician to practice the art of care until they achieve total abstinence.

Interventions in specific places

This topic presents recommendations to basic health care clinics, polyclinics, reference centers, hospitals and medical offices. These are facilities where the restriction of tobacco use is an important control strategy. Through these policies, it is possible to prevent the initiation among adolescents and to protect the health of nonsmokers, as well as to achieve decreased consumption or to encourage cessation among smokers.(187,188)

It is essential that there be coherence among the various health care facilities regarding the role they play as a gateway to healthy habits and lifestyles. This implies that these places where health is practiced should become ETA-free, and that the members of their professional staff should become models of behavior. These policies have already been implemented in various countries for two ­decades.­(189,190) However, a recent report from World Health Organization (WHO) shows that, currently, 40% of all countries still lack restrictions on smoking in hospitals.(191)

The Tobacco Free Initiative, a WHO program in partnership with international health professional organizations, developed a "code of practice" for health professionals.(192) This program maintains a list of the organizations that adopted the code of practice. Some relevant points of the code are described below:

 to encourage and support its members so that they become models of behavior, not smoking and promoting a smoke-free culture

 to evaluate/understand the standard of tobacco consumption and the tobacco control attitudes of its members, through research and the introduction of appropriate policies

 to ensure that the organization facilities and events are smoke-free and encourage their members to do the same

 to instruct their members to routinely ask patients and clients about the consumption and the tobacco smoke exposure-using the minimum approach based on evidence and good health practices

 to counsel about how to stop smoking and ensure the abstinence follow-up

 to influence health institutions and educational centers to include smoking control in the curriculum offered to their professional staff, through continuous education and other qualification/training programs

 to actively participate in the "World No Tobacco Day" (May 31st) and in the "National Day Against Tobacco" (August 29th)

 to support campaigns for smoke-free environments

However, isolated interventions, such as rulings handed down by directors or isolated speeches against smoking, are not sufficient to achieve an ETS-free health facility.(192)

As smoking cessation is a process, so is the implementation of smoke-free health care units. Educational, normative and organizational actions should be planned and implemented to promote cultural changes in society concerning its acceptance of free consumption of tobacco products in health care centers and, at the opportune time, provide support to help professionals stop smoking.(193)

Other themes of interest

Factors that make cessation difficult

Low motivation

Individual motivation is one of the most important factors in definitive smoking cessation, and is interrelated with a range of hereditary, psychological, physiological, and environmental variables (level B). The motivational intervention with brief counseling should be performed for all smokers, regardless of whether they have decided to stop smoking or not (level A).

Light to moderate smokers can present low motivation to abandon the dependence, because some of them believe they can stop whenever they want.(194)

Smokers who consume a large quantity of cigarettes can also present low motivation due to their lack of confidence to succeed. They believe they are incapable and are afraid of suffering from withdrawal syndrome, since they have already tried and failed before.(194) The principal strategies to overcome low motivation are discussed in the "Evaluation of the motivation level" section of these guidelines.

Withdrawal syndrome and dependence level

The nicotine dependence level will influence the facility with which an individual abandons the addiction (level A). Although approximately 70% of smokers present withdrawal syndrome, those with higher dependence levels have more difficulty in stopping smoking.(196,197) They are generally men, over 30 years of age, smoke the first cigarette less than 30 minutes after waking, are aware of the difficulty of quitting smoking and of their low self-esteem.(197)

Since the withdrawal syndrome is one of the principal causes of recidivism, the initial treatment of smokers and follow-up treatment by qualified health professionals are critical and represent the pillars upon which the cessation program objectives rest (level A).

Personality and psychiatric disorders

Individuals who smoke tend to be more extroverted, anxious, tense, and impulsive, and show more traits of neuroticism, psychoticism, anxiety and history of depressive disorders (level A).(199-201)

Knowing the psychological and psychiatric factors associated with smoking are important for practical purposes-smoking is a neurobehavioral disorder-and should be incorporated in the smoking history in order to better conduct and individualize the smoker treatment.

Changes in body weight

Smokers typically weight less than nonsmokers and gain weight when they stop smoking (level A). The use of NRT can provide limit the amount of weight gained after cessation. The interruption of drug use leads to an acute period of weight gain, followed by the return to levels similar to those observed in controls.(201-203)

Excessive weight gain usually follows alterations in behavior and personality patterns, frequently manifested as depression, abstention, self-punishment, irritability and aggression.

The most widely accepted theories to explain this intrinsic relationship between smoking and body weight in smoking individuals are as follows(201-203):

a) increased metabolic rate, with greater energy expenditure by smokers

b) differences in the quality and quantity of food ingested by smokers

c) appetite loss, via nicotine

Weight gain is one of the principal factors responsible for the high recidivism rate in smoking cessation. It is, therefore, important to control body weight during the cessation program planning and implementation.

Therefore, the inclusion of counseling is recommended for appropriate eating reorientation, combined with encouragement to exercise more. The counseling should begin during the preparation and action stages-aiming at decreasing the high recidivism rates caused by this factor (level A). When possible, counting on the support of a nutritionist in the multidisciplinary team is extremely useful in this context.

Harm reduction

Some patients are not able to stop smoking, and the reasons are many. Therefore, a smaller number of cigarettes smoked a day, the consumption of smokeless tobacco (especially Scandinavian moist snuff know as snus), the continuous use of NRT or the use of potential reduced exposure products (PREPs) began to be studied as a strategy to reduce damages.(204)

Although some studies show that decreasing the number of cigarettes smoked provides benefits in terms of markers of cardiovascular risk, few smokers would be totally free of cardiovascular damage, considering the known acute effects produced by cigarettes.(205,206)

A reduction of 50% in the number of cigarettes smoked/day did not improve AMI-related mortality and incidence rates.(207-210) The use of smokeless tobacco, either as snuff or chewed tobacco, defended as a way to reduce CVD risks in smokers who cannot stop smoking, was associated with an increased risk of AMI and cerebrovascular accident (CVA).(211-214) Therefore, we can conclude that there is no scientific evidence that decreasing the number of cigarettes smoked provides a reduction in CVD risks (level B).

Cancer mortality rates are lower among former smokers than among current smokers. Between former smokers and current smokers who reduce by half the number of cigarettes smoked, the differences are not significant.(217) When tumor markers are studied, the effects of smoking reduction are varied, ranging from a small decrease in nitrosamine metabolites to no effect at all.(216,217)

However, other studies show that there is sufficient evidence to indicate that the use of snuff and chewed tobacco causes cancer of the oral cavity and pancreas in human beings, due to the presence of two tobacco-specific nitrosamines.(218,219) Therefore, there is no conclusive evidence that these strategies reduce the risk of cancer in human beings (level B).

A reduction of 50% in the number of cigarettes/day decreased the inflammatory process of the airways, with a decrease in neutrophils and macrophages, although not reaching the levels seen in nonsmokers.(220,221)

Some studies have shown a decrease in the respiratory symptoms of COPD patients when they reduced the number of cigarettes smoked.(222,223)
However, this reduction did not improve the forced expiratory volume in one second, did not lower the risk of hospital admission for COPD and did not decrease mortality rates.(214,224,225)

Therefore, there is also no conclusive evidence that harm reduction decreases the risk or complications of COPD (level B). As a result, the scientific evidence does not allow us to conclude that harm reduction in smoking is beneficial.

It is almost impossible to evaluate the ­cost­/­benefit relation of strategies to reduce damages to the human health, because there are no accurate markers of the risks of these forms of exposure to tobacco products.(226,227) In addition, all forms of smokeless tobacco contain and produce nicotine in quantities that are comparable to those found in the cigarette smoke. Tobacco consumers who discontinue their use present withdrawal and "craving" symptoms-confirming the potential of these products to cause dependence(212) and various types of damage to human health.(214,228,229)

The PREPs were developed to release low concentrations of cancerous substances, especially nitrosamines and aromatic polycyclic ­hydrocarbons.­(230) However, some studies concluded that PREPs increase the serum levels of carbon monoxide to concentrations higher than those observed in the users of common cigarettes.(231) In addition, PREPs users compensate by reducing the interval between drags and dragging deeply, in order to satisfy their nicotine dependence.(232)

As for the reduction in the number of cigarettes, the central problem is that the smokers modify their manner of smoking, inhaling more deeply and with greater frequency in order to maintain their serum nicotine levels.(232,234)
Therefore, a percentage reduction in the number of cigarettes might not produce an equivalent reduction in the exposure to tobacco toxins.

Harm reduction should not be the final goal, but a way to achieve the definitive cessation, or a strategy to reinforce the individual motivation, considering that SRD risks remain the same. Since most smokers who try to reduce tobacco use report various withdrawal symptoms, NRT (nicotine gum) is suggested as a reduction regimen for at least three months (level A).(234)

Passive smoking

Passive smoking refers to nonsmoker inhalation of smoke from tobacco products (popular cigarettes, hand-rolled cigarette, clove cigarettes, cigars, pipes, narghiles, etc.), and is also known as involuntary smoke exposure or exposure to ETS.

According to WHO, ETS is the principal pollutant in closed environments, and passive smoking is the third leading cause of avoidable death in the ­world.­(235) There are approximately 250 toxic substances in ETS, and some of those substances, such as benzopyrene and aromatic polycyclic hydrocarbons, are recognized by the International Agency for Research on Cancer as being mutation- and cancer-causing agents.(235)

It is estimated that approximately half of all children worldwide are exposed to ETS.(191,236) Aspects related to passive smoking during pregnancy and sudden infant death syndrome are addressed previously in these guidelines. There is sufficient evidence to indicate that passive smoking (in intrauterine life or by ETS exposure) has an impact on human behavior and neurological development. Newborns present neurological deficits, cognitive deficits, tremors, hypertonicity, restlessness and hyperactivity.(237)

Preschool age children exposed to ETS present learning difficulties. School-age children exposed to ETS present attention deficit, as well as difficulty in reading and mathematics, together with delayed development of manual skills and spoken language capabilities. In adolescence, there are more reports of behavior disorders and delinquency.(238,239) In adults, passive smoking is related to various respiratory diseases: it exacerbates asthma (increased severity of crises, causing more visits to emergency ­services/­hospitalizations) and worsening of the quality of life related to the disease. In addition, it is related to the development and worsening of COPD, lung cancer and, recently, the risk of developing tuberculosis.(236,240,241)

It is estimated that chronic exposure to ETS increases the risk of CVD by 20-50%. Endothelial dysfunction is the primary manifestation of atherosclerosis. In individuals chronically exposed to ETS, there is endothelial damage with loss of arterial elasticity and lower response to endogenous stimuli, having as principal causes the increase in low-density lipoprotein and free radicals. Subsequently, there is macrophage oxidation of low-density lipoprotein, formation of local plaque, activation of platelets and an increase in fibrinogen. The artery no longer dilates is response to the tissue demand for more oxygen.

This problem is aggravated in remodeled arteries by atherosclerosis plaque, high levels of fibrinogen, activation of platelets and carbon monoxide concentration-one of the principal components of tobacco smoke-causing a reduction in the tissue supply of oxygen. In passive smokers, plaque can dislodge and the formation of thrombi can cause ischemic events (AMI or CVA).(242)

Recent studies have suggested that even 30 min of exposure to ETS is sufficient to affect the endothelial cells in the coronary arteries of nonsmokers. This would increase the risk for passive smokers to suffer from an episode of AMI, especially for those who already have a cardiopathy. As a preventive measure, it is recommended that such patients avoid environments in which there is ETS.(237)

Chart 9 presents a glossary of the terms used in these guidelines.





Collaborating authors

Adriano Guazelli - Smoker Aid Program. Faculdade de Medicina do ABC - FMABC, ABC School of Medicine - Mario Covas State Hospital, Santo André, Brazil.

Alessandra Alves da Costa - Smoking Treatment Program. Universidade do Estado do Rio de Janeiro -UERJ, Rio de Janeiro State University - Pedro Ernesto University Hospital, Rio de Janeiro, Brazil.

Alexandre Milagres - Centro de Apoio ao Tabagista - CAT, Smoker Support Center - Rio de Janeiro, Brazil.

Antonio José Pessoa Dórea - Smoking Control Program. Bahia State Health Department Otavio Mangabeira Hospital, Salvador, Brazil.

Carlos Alberto de Assis Viegas - Universidade de Brasília - UnB, Brasília University - School of Medicine, Brasília, Brazil.

Carlos Alberto de Barros Franco - Graduate School of Medicine of the Pontifícia Universidade Católica do Rio de Janeiro - PUC‑Rio, Pontifical Catholic University of Rio de Janeiro - Rio de Janeiro, Brazil. Member of the National Academy of Medicine, Rio de Janeiro, Brazil.

Clovis Botelho - Masters in Collective Health. Universidade Federal de Mato Grosso - UFMT, Federal University of Mato Grosso - School of Medical Sciences, Cuiabá, Brazil.

Daniela Cavalet Blanco - Department of Pulmonology, São Lucas Hospital, Pontifícia Universidade Católica do Rio Grande do Sul - PUCRS, Pontifical Catholic University of Rio Grande do Sul - School of Medicine, Porto
Alegre, Brazil.

Evandro Guimarães de Sousa - Pulmonary Rehabilitation Center and Center for Support on Smoking Prevention and Cessation (PrevFumo) - Universidade Federal de São Paulo - UNIFESP, Federal University of São
Paulo - São Paulo, Brazil.

Fernando Sérgio Studart Leitão - Smoking Outpatient Clinic. Hospital do Servidor Público Estadual de São Paulo - HSPE/SP, São Paulo Hospital for State Civil Servants - São Paulo, Brazil.

João Paulo Becker Lotufo - Anti-Smoking Project. University Hospital, Universidade de São Paulo - USP, University of São Paulo - São Paulo, Brazil.

Luci Iolanda Bendhack - President of the Commission on Smoking of the Sociedade Paranaense de Tisiologia e Doenças Torácicas - SPTDT, Paraná State Thoracic Society - Curitiba, Brazil. President of the Commission on Smoking of the Associação Médica do Paraná - AMP, Paraná State Medical Association - Curitiba, Brazil. Pulmonologist and Coordinator of the Smoking Treatment Program, Curitiba Municipal Health Department, Curitiba, Brazil.

Luis Suares Halty - Smoker Treatment Program. Department of Internal Medicine, University Hospital, Fundação Universidade Federal do Rio Grande - FURG, Federal University of Rio Grande Foundation, Rio Grande, Brazil.

Luiz Fernando Ferreira Pereira - Coordinator of the Medical Residency Smoking Outpatient Clinic. Universidade Federal de Minas Gerais - UFMG, Federal University of Minas Gerais - Hospital das Clínicas, Belo
Horizonte, Brazil.

Marcelo Fouad Rabahi - Department of Pulmonology. Universidade Federal de Goiás - UFGO, Federal University of Goiás - School of Medicine, Goiânia, Brazil.

Maria Eunice Morais Oliveira - Smoking Program. Hospital Nossa Senhora da Conceição, Porto Alegre, Brazil.

Maria Vera Cruz de Oliveira - Smoking Outpatient Clinic. Hospital do Servidor Público Estadual de São Paulo - HSPE/SP, São Paulo Hospital for State Civil Servants - São Paulo, Brazil.

Oliver Augusto Nascimento - Department of Pulmonology. Pulmonary Rehabilitation Center, Universidade Federal de São Paulo - UNIFESP, Federal University of São Paulo - São Paulo, Brazil.

Paulo César Rodrigues Pinto Corrêa - President (1998-2003) of the Commission on Smoking, Associação Médica de Minas Gerais - AMMG, Minas Gerais State Medical Association - Belo Horizonte, Brazil. Consultant for
the Aliança de Controle do Tabagismo no Brasil - ACTbr, Brazilian Smoking Control Alliance - São Paulo, Brazil.

Ricardo Henrique Sampaio Meirelles - Physician at the Center for Research on the Treatment of Smoking. Instituto Nacional do Câncer - INCA, Brazilian National Cancer Institute - Rio de Janeiro, Brazil. President of the Commission on Smoking of the Rio de Janeiro State Thoracic Society, Rio de Janeiro, Brazil. Member of the Brazilian thoracic Association Commission on Smoking. Full Member of the Committee to Fight Smoking of the Associação Médica Brasileira - AMB, Brazilian Medical Association - São Paulo, Brazil. Member of the Conselho Federal de Medicina - CFM, Federal Medical Council - Brasília, Brazil.

Suzana Erico Tanni Minamoto - Pulmonologist and Member of the Smoking Cessation Program, Center for Nicotine Dependence. Universidade Estadual Paulista - UNESP, São Paulo State University - Botucatu School of
Medicine, Botucatu, Brazil.



References

1. The Cochrane Library [homepage on the Internet]. [cited 2008 Aug 15] Evidence for healthcare decision-making. Cochrane Review. Wiley Interscience; 2008. Available from: http://www3.interscience.wiley.com/cgi-bin/mrwhome/106568753/HOME

2. Fiore M. Treating tobacco use and dependence: 2008 update. Clinical practice guideline. Rockville Md: U.S. Dept. of Health and Human Services, Public Health Service, 2008.

3. Fagerström KO. Measuring degree of physical dependence to tobacco smoking with reference to individualization of treatment. Addict Behav. 1978;3(3-4):235-41.

4. Heatherton TF, Kozlowski LT, Frecker RC, Rickert W, Robinson J. Measuring the heaviness of smoking: using self-reported time to the first cigarette of the day and number of cigarettes smoked per day. Br J Addict. 1989;84(7):791-9.

5. Heatherton TF, Kozlowski LT, Frecker RC, Fagerström KO. The Fagerström Test for Nicotine Dependence: a revision of the Fagerström Tolerance Questionnaire. Br J Addict. 1991;86(9):1119-27.

6. Halty LS, Hüttner MD, Netto IC, Santos VA, Martins G. Análise da utilização do questionário de tolerância de Fagerström (QTF) como instrumento de medida da dependência nicotínica. J Pneumol. 2002;28(4):180-86.

7. American Psychiatric Association. Diagnostic and statistical manual of mental disorders: DSM-IV. Washington: American Psychiatric Association, 1994.

8. Cottler LB, Schuckit MA, Helzer JE, Crowley T, Woody G, Nathan P, et al. The DSM-IV field trial for substance use disorders: major results. Drug Alcohol Depend. 1995;38(1):59-69; discussion 71-83.

9. Figueiredo VC, Szklo M, Szklo AS, Benowitz N, Lozana JA, Casado L, et al. Determinantes dos níveis de cotinina salivar: um estudo de base populacional no Brasil. Rev Saúde Pública 2007:41(6):954-962.

10. Pirkle JL, Flegal KM, Bernert JT, Brody DJ, Etzel RA, Maurer KR. Exposure of the US population to environmental tobacco smoke: the Third National Health and Nutrition Examination Survey, 1988 to 1991. JAMA. 1996;275(16):1233-40.

11. Bernert JT, Harmon TL, Sosnoff CS, McGuffey JE. Use of cotinine immunoassay test strips for preclassifying urine samples from smokers and nonsmokers prior to analysis by LC-MS-MS. J Anal Toxicol. 2005;29(8):814-8.

12. Santos UP, Gannam S, Abe JM, Esteves PB, Freitas FM, Wakassa TB, et al. Emprego da determinação de monóxido de carbono no ar exalado para a detecção do consumo de tabaco. J Pneumol. 2001:27(5):231-236.

13. Chen K, Kandel DB. The natural history of drug use from adolescence to the mid-thirties in a general population sample. Am J Public Health. 1995;85(1):41-7.

14. Sobell LC, Sobell MB. Guiding self-change. In: Miller W. R, Heather N, editors. Treating addictive behaviors. Applied clinical psychology. New York: Plenum Press; 1998. p. 189-202.

15. DiClemente CC, Prochaska JO. Self-change and therapy change of smoking behavior: a comparison of processes of change in cessation and maintenance. Addict Behav. 1982;7(2):133-42.

16. Miller W, Rollnick S, editors. Entrevista Motivacional - Preparando as pessoas para a mudança de comportamentos aditivos. Porto Alegre: Artmed; 2001. pp. 30-42.

17. Miller WR, Taylor CA. Relative effectiveness of bibliotherapy, individual and group self-control training in the treatment of problem drinkers. Addict Behav. 1980;5(1):13-24.

18. Miller WR, Benefield RG, Tonigan JS. Enhancing motivation for change in problem drinking: a controlled comparison of two therapist styles. J Consult Clin Psychol. 1993;61(3):455-61.

19. Najavits LM, Weiss RD. Variations in therapist effectiveness in the treatment of patients with substance use disorders: an empirical review. Addiction. 1994;89(6):679-88.

20. Fuentes-Pila JM, Calatayud P, López E, Castañeda B. La entrevista motivacional: llave del proceso de cambio en la dependencia nicotín-tabáquica. Trastornos Adictivos. 2005;7(3):153-65.

21. Cibanal Juan L., Arce Sánchez M, Carballal Balsa MC. Técnicas de comunicación y relación de ayuda en ciencias de la salud. Madrid: Elsevier, 2003.

22. Bandura A. Self-efficacy: the exercise of control. New York: W.H. Freeman, 1997.

23. Bandura A. Social foundations of thought and action: a social cognitive theory. Prentice-Hall series in social learning theory. Englewood Cliffs: Prentice-Hall, 1986.

24. Benowitz NL. Clinical pharmacology of nicotine: implications for understanding, preventing, and treating tobacco addiction. Clin Pharmacol Ther. 2008;83(4):531-41.

25. Chatkin JM. The influence of genetics on nicotine dependence and the role of pharmacogenetics in treating the smoking habit. J Bras Pneumol. 2006;32(6):573-9.

26. Munafò M, Clark T, Johnstone E, Murphy M, Walton R. The genetic basis for smoking behavior: a systematic review and meta-analysis. Nicotine Tob Res. 2004;6(4):583-97.

27. Lerman C, Patterson F, Berrettini W. Treating tobacco dependence: state of the science and new directions. J Clin Oncol. 2005 Jan 10;23(2):311-23.

28. Lessov-Schlaggar CN, Pergadia ML, Khroyan TV, Swan GE. Genetics of nicotine dependence and pharmacotherapy. Biochem Pharmacol. 2008;75(1):178-95.

29. Ho MK, Tyndale RF. Overview of the pharmacogenomics of cigarette smoking. Pharmacogenomics J. 2007;7(2):81-98.

30. Sardinha A, Oliva AD, D´Augustin J, Ribeiro F, Falcone EM. O. Intervenção Cognitivo-Comportamental com grupos para o abandono do cigarro. Rev Bras Ter Cogn. 2005;1(1):83-90.

31. Brasil. Ministério da Saúde. Ajudando seu paciente a deixar de fumar. Rio de Janeiro: INCA, 1997.

32. Ministério da Saúde. Instituto Nacional de Câncer. Coordenação de Prevenção e Vigilância. Abordagem e Tratamento do Fumante - Consenso 2001. Rio de Janeiro: MS/INCA.

33. Ministério da Saúde. Instituto Nacional de Câncer. Coordenação de Prevenção e Vigilância. Deixando de fumar sem mistérios: Manual do Participante. Rio de Janeiro: MS/­INCA; 2004.

34. Ministério da Saúde. Instituto Nacional do ­Câncer­. Coordenação Nacional de Controle do tabagismo e Prevenção Primária do Câncer. Deixando de Fumar sem Mistérios. Manual do Coordenador. Rio de Janeiro: MS/INCA, 2005.

35. Knapp P, Bertolote JM, organizers. Prevenção da Recaída - um manual para pessoas com problemas pelo uso do álcool e de drogas. Porto Alegre: Artes Médicas; 1994.

36. Marlatt GA, Gordon JR. Prevenção da Recaída: Estratégias e Manutenção no Tratamento de Comportamentos Adictivos. Porto Alegre: Artes Médicas; 1993.

37. Fiore M. Treating tobacco use and dependence. Clinical practice guideline, [no. 18]. Rockville: U.S. Dept. of Health and Human Services, Public Health Service, 2000.

38. Stead LF, Perera R, Bullen C, Mant D, Lancaster T. Nicotine replacement therapy for smoking cessation. Cochrane Database Syst Rev. 2008;(1):CD000146. Update of: Cochrane Database Syst Rev. 2004;(3):CD000146.

39. Henningfield JE, Fant RV, Buchhalter AR, Stitzer ML. Pharmacotherapy for nicotine dependence. CA Cancer J Clin. 2005;55(5):281-99; quiz 322-3, 325.

40. Hajek P, West R, Foulds J, Nilsson F, Burrows S, Meadow A. Randomized comparative trial of nicotine polacrilex, a transdermal patch, nasal spray, and an inhaler. Arch Intern Med. 1999;159(17):2033-8.

41. Balfour DJ, Fagerström KO. Pharmacology of nicotine and its therapeutic use in smoking cessation and neurodegenerative disorders. Pharmacol Ther. 1996;72(1):51-81.

42. Schuurmans MM, Diacon AH, van Biljon X, Bolliger CT. Effect of pre-treatment with nicotine patch on withdrawal symptoms and abstinence rates in smokers subsequently quitting with the nicotine patch: a randomized controlled trial. Addiction. 2004;99(5):634-40.

43. Le Foll B, George TP. Treatment of tobacco dependence: integrating recent progress into practice. CMAJ. 2007;177(11):1373-80. Erratum in: CMAJ. 2008 Mar 11;178(6):732.

44. Lerman C, Kaufmann V, Rukstalis M, Patterson F, Perkins K, Audrain-McGovern J, et al. Individualizing nicotine replacement therapy for the treatment of tobacco dependence: a randomized trial. Ann Intern Med. 2004;140(6):426-33.

45. Silagy C, Lancaster T, Stead L, Mant D, Fowler G. Nicotine replacement therapy for smoking cessation. Cochrane Database Syst Rev. 2004;(3):CD000146. Review. Update in: Cochrane Database Syst Rev. 2008;(1):CD000146.

46. Bolliger CT, van Biljon X, Axelsson A. A nicotine mouth spray for smoking cessation: a pilot study of preference, safety and efficacy. Respiration. 2007;74(2):196-201.

47. Herrera N, Franco R, Herrera L, Partidas A, Rolando R, Fagerström KO. Nicotine gum, 2 and 4 mg, for nicotine dependence. A double-blind placebo-controlled trial within a behavior modification support program. Chest. 1995;108(2):447-51.

48. Dale LC, Hurt RD, Offord KP, Lawson GM, Croghan IT, Schroeder DR. High-dose nicotine patch therapy. Percentage of replacement and smoking cessation. JAMA. 1995;274(17):1353-8.

49. Silagy C, Lancaster T, Stead L, Mant D, Fowler G. Nicotine replacement therapy for smoking cessation. Cochrane Database Syst Rev. 2002;(4):CD000146. Update in: Cochrane Database Syst Rev. 2004;(3):CD000146.

50. Ferrero MB, Mezquita MA, García MT, editors. Manual de prevención y tratamiento del tabaquismo. Madrid: Ergon, Madrid; 2003.

51. Sociedade Brasileira de Pneumologia e Tisiologia. Diretrizes para Cessação do Tabagismo. J Bras Pneumol. 2004;30(2):S1-S76.

52. Rosemberg J, Rosemberg AM, Moraes MA. Nicotina: droga universal. Sao Paulo: Sao Paulo (Estado). Secretaria da Saude. Centro de Vigilancia Epidemiologica, 2003.

53. Fagerström K. New perspectives in the treatment of tobacco dependence. Monaldi Arch Chest Dis. 2003;60(3):179-83.

54. Hughes JR, Stead LF, Lancaster T. Antidepressants for smoking cessation. Cochrane Database Syst Rev. 2007;(1):CD000031.

55. Balfour DJ. The pharmacology underlying pharmacotherapy for tobacco dependence: a focus on bupropion. Int J Clin Pract. 2001 ;55(1):53-7.

56. Jorenby D. Clinical efficacy of bupropion in the management of smoking cessation. Drugs. 2002;62(Suppl 2):25-35.

57. Holm KJ, Spencer CM. Bupropion: a review of its use in the management of smoking cessation. Drugs. 2000;59(4):1007-24.

58. Reichert J. Tratamento Farmacológico do Tabagismo. In: Viegas CA, editor. Tabagismo - do diagnóstico à saúde publica. São Paulo: Atheneu, 2007. p. 233-236.

59. Viegas CA, Reichert J. Tratamento Medicamentoso. J Bras Pneumol. 2004;30(supl.2):S36-S40.

60. Foulds J. The neurobiological basis for partial agonist treatment of nicotine dependence: varenicline. Int J Clin Pract. 2006;60(5):571-6.

61. Coe JW, Brooks PR, Vetelino MG, Wirtz MC, Arnold EP, Huang J, et al. Varenicline: an alpha4beta2 nicotinic receptor partial agonist for smoking cessation. J Med Chem. 2005;48(10):3474-7.

62. Etter JF. Cytisine for smoking cessation: a literature review and a meta-analysis. Arch Intern Med. 2006;166(15):1553-9.

63. Cahill K, Stead LF, Lancaster T. Nicotine receptor partial agonists for smoking cessation. Cochrane Database Syst Rev. 2007;(1):CD006103.

64. Tonstad S, Tønnesen P, Hajek P, Williams KE, Billing CB, Reeves KR, et al. Effect of maintenance therapy with varenicline on smoking cessation: a randomized controlled trial. JAMA. 2006;296(1):64-71.

65. Obach RS, Reed-Hagen AE, Krueger SS, Obach BJ, O'Connell TN, Zandi KS, et al. Metabolism and disposition of varenicline, a selective alpha4beta2 acetylcholine receptor partial agonist, in vivo and in vitro. Drug Metab Dispos. 2006;34(1):121-30.

66. Keating GM, Siddiqui MA. Varenicline: a review of its use as an aid to smoking cessation therapy. CNS Drugs. 2006;20(11):945-60.

67. Kuehn BM. FDA warns of adverse events linked to smoking cessation drug and antiepileptics. JAMA. 2008;299(10):1121-2.

68. Aubin HJ, Bobak A, Britton JR, Oncken C, Billing CB Jr, Gong J, et al. Varenicline versus transdermal nicotine patch for smoking cessation: results from a randomised open-label trial. Thorax. 2008;63(8):717-24.

69. Jorenby DE, Leischow SJ, Nides MA, Rennard SI, Johnston JA, Hughes AR, et al. A controlled trial of sustained-release bupropion, a nicotine patch, or both for smoking cessation. N Engl J Med. 1999;340(9):685-91.

70. McRobbie H, Lee M, Juniper Z. Non-nicotine pharmacotherapies for smoking cessation. Respir Med. 2005;99(10):1203-12.

71. Wagena EJ, Knipschild P, Zeegers MP. Should nortriptyline be used as a first-line aid to help smokers quit? Results from a systematic review and meta-analysis. Addiction. 2005;100(3):317-26.

72. Aveyard P, Johnson C, Fillingham S, Parsons A, Murphy M. Nortriptyline plus nicotine replacement versus placebo plus nicotine replacement for smoking cessation: pragmatic randomised controlled trial. BMJ. 2008;336(7655):1223-7.

73. Prochazka AV, Kick S, Steinbrunn C, Miyoshi T, Fryer GE. A randomized trial of nortriptyline combined with transdermal nicotine for smoking cessation. Arch Intern Med. 2004;164(20):2229-33.

74. Hall SM, Reus VI, Muñoz RF, Sees KL, Humfleet G, Hartz DT, et al. Nortriptyline and cognitive-behavioral therapy in the treatment of cigarette smoking. Arch Gen Psychiatry. 1998;55(8):683-90.

75. Haggsträm FM, Chatkin JM, Sussenbach-Vaz E, Cesari DH, Fam CF, Fritscher CC. A controlled trial of nortriptyline, sustained-release bupropion and placebo for smoking cessation: preliminary results. Pulm Pharmacol Ther. 2006;19(3):205-9.

76. Wagena EJ, Knipschild PG, Huibers MJ, Wouters EF, van Schayck CP. Efficacy of bupropion and nortriptyline for smoking cessation among people at risk for or with chronic obstructive pulmonary disease. Arch Intern Med. 2005;165(19):2286-92.

77. da Costa CL, Younes RN, Lourenço MT. Stopping smoking: a prospective, randomized, double-blind study comparing nortriptyline to placebo. Chest. 2002;122(2):403-8.

78. Prochazka AV, Weaver MJ, Keller RT, Fryer GE, Licari PA, Lofaso D. A randomized trial of nortriptyline for smoking cessation. Arch Intern Med. 1998;158(18):2035-9.

79. Gourlay SG, Stead LF, Benowitz NL. Clonidine for smoking cessation. Cochrane Database Syst Rev. 2004;(3):CD000058.

80. Gourlay SG, Stead LF, Benowitz NL. Clonidine for smoking cessation. Cochrane Database Syst Rev. 2000;(2):CD000058. Review. Update in: Cochrane Database Syst Rev. 2004;(3):CD000058.

81. Lancaster T, Stead LF. Silver acetate for smoking cessation. Cochrane Database Syst Rev. 2005;(2):Update Software.

82. Lancaster T, Stead LF. Silver acetate for smoking cessation. Cochrane Database Syst Rev. 2000;(2):CD000191.

83. Cahill K, Ussher M. Cannabinoid type 1 receptor antagonists (rimonabant) for smoking cessation. Cochrane Database Syst Rev. 2007;(3):CD005353. Review. Update in: Cochrane Database Syst Rev. 2007;(4):CD005353.

84. David S, Lancaster T, Stead LF, Evins AE. Opioid antagonists for smoking cessation. Cochrane Database Syst Rev. 2006;(4):CD003086.

85. Hughes JR, Stead LF, Lancaster T. Anxiolytics for smoking cessation. Cochrane Database Syst Rev. 2007;(2):CD002849. Achei esse: Hughes JR, Stead LF, Lancaster T. Anxiolytics for smoking cessation. Cochrane Database Syst Rev. 2000;(4):CD002849.

86. Hughes JR, Stead LF, Lancaster T. Anxiolytics for smoking cessation. Cochrane Database Syst Rev. 2000;(4):CD002849.

87. George TP, Vessicchio JC, Termine A, Jatlow PI, Kosten TR, O'Malley SS. A preliminary placebo-controlled trial of selegiline hydrochloride for smoking cessation. Biol Psychiatry. 2003;53(2):136-43.

88. Stead LF, Lancaster T. Nicobrevin for smoking cessation. Cochrane Database Syst Rev. 2006;(2):CD005990.

89. Lancaster T, Stead LF. Mecamylamine (a nicotine antagonist) for smoking cessation. Cochrane Database Syst Rev. 2000;(2):CD001009.

90. Stead LF, Hughes JR. Lobeline for smoking cessation. Cochrane Database Syst Rev. 2000;(2):CD000124.

91. Hajek P, Stead LF. Aversive smoking for smoking cessation. Cochrane Database Syst Rev. 2004;(3):CD000546.

92. Hatsukami DK, Rennard S, Jorenby D, Fiore M, Koopmeiners J, de Vos A, et al. Safety and immunogenicity of a nicotine conjugate vaccine in current smokers. Clin Pharmacol Ther. 2005;78(5):456-67. Erratum in: Clin Pharmacol Ther. 2006;79(4):396.

93. Hasman A, Holm S. Nicotine conjugate vaccine: is there a right to a smoking future? J Med Ethics. 2004;30(4):344-5.

94. Hughes JR, Shiffman S, Callas P, Zhang J. A meta-analysis of the efficacy of over-the-counter nicotine replacement. Tob Control. 2003;12(1):21-7.

95. Lancaster T, Stead LF. Self-help interventions for smoking cessation. Cochrane Database Syst Rev. 2005;(3):CD001118.

96. Lancaster T, Stead L. Physician advice for smoking cessation. Cochrane Database Syst Rev. 2004;(4):CD000165. Review. Update in: Cochrane Database Syst Rev. 2008;(2):CD000165.

97. Gorin SS, Heck JE. Meta-analysis of the efficacy of tobacco counseling by health care providers. Cancer Epidemiol Biomarkers Prev. 2004;13(12):2012-22.

98. Stead LF, Lancaster T. Group behaviour therapy programmes for smoking cessation. Cochrane Database Syst Rev. 2005;(2):CD001007.

99. Lancaster T, Stead LF. Individual behavioural counselling for smoking cessation. Cochrane Database Syst Rev. 2005;(2):CD001292.

100. Walters ST, Wright JA, Shegog R. A review of computer and Internet-based interventions for smoking behavior. Addict Behav. 2006;31(2):264-77.

101. Etter JF. Comparing the efficacy of two Internet-based, computer-tailored smoking cessation programs: a randomized trial. J Med Internet Res. 2005;7(1):e2.

102. Ussher M. Exercise interventions for smoking cessation. Cochrane Database Syst Rev. 2005;(1):CD002295.

103. White AR, Rampes H, Campbell JL. Acupuncture and related interventions for smoking cessation. Cochrane Database Syst Rev. 2006;(1):CD000009.

104. Abbot NC, Stead LF, White AR, Barnes J, Ernst E. Hypnotherapy for smoking cessation. Cochrane Database Syst Rev. 2000;(2):CD001008.

105. Bize R, Burnand B, Mueller Y, Cornuz J. Biomedical risk assessment as an aid for smoking cessation. Cochrane Database Syst Rev. 2005;(4):CD004705.

106. Zhu SH, Anderson CM, Tedeschi GJ, Rosbrook B, Johnson CE, Byrd M, et al. Evidence of real-world effectiveness of a telephone quitline for smokers. N Engl J Med. 2002;347(14):1087-93.

107. Stead LF, Lancaster T. Telephone counselling for smoking cessation. Cochrane Database Syst Rev. 2001;(2):CD002850.Update in: Cochrane Database Syst Rev. 2003;(1):CD002850.

108. Reichert VC, Seltzer V, Efferen LS, Kohn N. Women and tobacco dependence. Med Clin North Am. 2004;88(6):1467-81, x.

109. World Health Organization. Gender, Health and Tobacco - Tobacco Free Initiative. Geneva: WHO, 2003.

110. Rivera MP, Stover DE. Gender and lung cancer. Clin Chest Med. 2004;25(2):391-400.

111. Hirayama T. Non-smoking wives of heavy smokers have a higher risk of lung cancer: a study from Japan. Br Med J (Clin Res Ed). 1981;282(6259):183-5.

112. Croft P, Hannaford PC. Risk factors for acute myocardial infarction in women: evidence from the Royal College of General Practitioners' oral contraception study. BMJ. 1989;298(6667):165-8.

113. Perkins KA. Smoking cessation in women. Special considerations. CNS Drugs. 2001;15(5):391-411.

114. Ischaemic stroke and combined oral contraceptives: results of an international, multicentre, case-control study. WHO Collaborative Study of Cardiovascular Disease and Steroid Hormone Contraception. Lancet. 1996;348(9026):498-505.

115. US. Centers for Disease Control and Prevention. National Center for Chronic Disease Prevention and Health Promotion. Women and smoking: a report of the Surgeon General. Rockville: U.S. Dept. of Health and Human Services, Public Health Service, Office of the Surgeon General, 2001.

116. Araujo AJ, Caldas N, Borges MT, Ortolan F, Cassabian L, Zoucas MA. Abordagem de populações especiais: tabagismo e mulher - razões para abordagem específica de gênero. In: Gigliotti A, Pressman S, organizers. Atualização no Tratamento do Tabagismo. Rio de Janeiro: Abc Saúde; 2006. p. 107-128.

117. US Center for Chronic Disease Prevention and Health Promotion. The Health benefits of smoking cessation: a report of the Surgeon General. DHHS publication, no. (CDC) 90-8416. Rockville: U.S. Dept. of Health and Human Services, Public Health Service, Centers for Disease Control, Center for Chronic Disease Prevention and Health Promotion, Office on Smoking and Health, 1990.

118. Lumley J, Oliver SS, Chamberlain C, Oakley L. Interventions for promoting smoking cessation during pregnancy. Cochrane Database Syst Rev. 2004;(4):CD001055. Update of: Cochrane Database Syst Rev. 2000;(2):CD001055.

119. West R, McNeill A, Raw M. Smoking cessation guidelines for health professionals: an update. Health Education Authority. Thorax. 2000;55(12):987-99.

120. Halty LS, Hüttner MD, Netto IO, Fenker T, Pasqualine T, Lempek B, et al. Pesquisa sobre tabagismo entre médicos de Rio Grande, RS: prevalência e perfil do fumante. J Pneumol. 2002;28(2):77-83.

121. Guazzelli AC, Terra Filho M, Fiss E. Tabagismo entre médios da região do ABC Paulista. J Bras Pneumol. 2005;31(6):516-22.

122. Mirra AP, Rosemberg J. Inquérito sobre prevalência do tabagismo na classe médica brasileira. Rev Assoc Méd Bras. 1997;43(3):209-16.

123. Viegas CA, Andrade AP, Silvestre RS. Characteristics of smoking among physicians in the Federal District of Brazil. J Bras Pneumol. 2007;33(1):76-80.

124. Lotufo JP, editor. Tabagismo, uma doença pediátrica. São Paulo: Savier; 2007. p. 17-19.

125. Mannino DM, Siegel M, Husten C, Rose D, Etzel R. Environmental tobacco smoke exposure and health effects in children: results from the 1991 National Health Interview Survey. Tob Control. 1996;5(1):13-8.

126. Mannino DM, Moorman JE, Kingsley B, Rose D, Repace J. Health effects related to environmental tobacco smoke exposure in children in the United States: data from the Third National Health and Nutrition Examination Survey. Arch Pediatr Adolesc Med. 2001;155(1):36-41.

127. World Health Organization. International Consultation on Environmental Tobacco Smoke (ETS) and Child Health. Geneva: World Health Organization, 1999.

128. National Cancer Institute. Smoking, tobacco, and cancer program: 1985-1989 status report. NIH publication, no. 90-3107. Bethesda: U.S. Dept. of Health and Human Services, Public Health Service, National Institutes of Health, National Cancer Institute, 1990.

129. Samet JM, Tager IB, Speizer FE. The relationship between respiratory illness in childhood and chronic air-flow obstruction in adulthood. Am Rev Respir Dis. 1983;127(4):508-23.

130. Tager IB. Passive smoking--bronchial responsiveness and atopy. Am Rev Respir Dis. 1988;138(3):507-9.

131. National Asthma Education and Prevention Program. Expert Panel report 3: guidelines for the diagnosis and management of asthma. NIH publication, no. 07-4051. Bethesda: National Institutes of Health, National Heart, Lung, and Blood Institute, 2007.

132. Lopez AD, Collishaw NE, Piha T. A descriptive model of the cigarette epidemic in developed countries. Tob Control. 1994;3(3):242-247.

133. Bratzler DW, Oehlert WH, Austelle A. Smoking in the elderly--it's never too late to quit. J Okla State Med Assoc. 2002;95(3):185-91; quiz 192-3.

134. Williams CD, Lewis-Jack O, Johnson K, Adams-Campbell L. Environmental influences, employment status, and religious activity predict current cigarette smoking in the elderly. Addict Behav. 2001;26(2):297-301.

135. Kaplan MS, Newsom JT, McFarland BH. Older adults' contact with health practitioners: is there an association with smoking practices? J Gerontol A Biol Sci Med Sci. 2002;57(6):M343-6.

136. Maxwell CJ, Hirdes JP. The prevalence of smoking and implications for quality of life among the community-based elderly. Am J Prev Med. 1993;9(6):338-45.

137. Ishii T, Teramoto S, Miyashita A, Ishigatsubo Y, Kimura H, Kuwahira I, et al. Questionnaire on the attitude of the physicians in educating the elderly patients with chronic obstructive pulmonary disease about smoking cessation [Article in Japanese]. Nippon Ronen Igakkai Zasshi. 2002;39(3):308-13.

138. Tsoh JY, Humfleet GL, Muñoz RF, Reus VI, Hartz DT, Hall SM. Development of major depression after treatment for smoking cessation. Am J Psychiatry. 2000;157(3):368-74. Erratum in: Am J Psychiatry 2000;157(8):1359.

139. Dale LC, Olsen DA, Patten CA, Schroeder DR, Croghan IT, Hurt RD, et al. Predictors of smoking cessation among elderly smokers treated for nicotine dependence. Tob Control. 1997;6(3):181-7.

140. Lando H, Hennrikus D, McCarty M, Vessey J. Predictors of quitting in hospitalized smokers. Nicotine Tob Res. 2003;5(2):215-22.

141. Appel DW, Aldrich TK. Smoking cessation in the elderly. Clin Geriatr Med. 2003;19(1):77-100.

142. Tzivoni D, Keren A, Meyler S, Khoury Z, Lerer T, Brunel P. Cardiovascular safety of transdermal nicotine patches in patients with coronary artery disease who try to quit smoking. Cardiovasc Drugs Ther. 1998;12(3):239-44.

143. Sociedade Brasileira de Pneumologia e Tisiologia. Diretrizes para Cessação do Tabagismo. J Bras Pneumol. 2004;30(2): S1-S76.

144. Mohiuddin SM, Mooss AN, Hunter CB, Grollmes TL, Cloutier DA, Hilleman DE. Intensive smoking cessation intervention reduces mortality in high-risk smokers with cardiovascular disease. Chest. 2007;131(2):446-52.

145. Molyneux A, Lewis S, Leivers U, Anderton A, Antoniak M, Brackenridge A, et al. Clinical trial comparing nicotine replacement therapy (NRT) plus brief counselling, brief counselling alone, and minimal intervention on smoking cessation in hospital inpatients. Thorax. 2003;58(6):484-8.

146. Simon JA, Carmody TP, Hudes ES, Snyder E, Murray J. Intensive smoking cessation counseling versus minimal counseling among hospitalized smokers treated with transdermal nicotine replacement: a randomized trial. Am J Med. 2003;114(7):555-62.

147. Rigotti NA, Arnsten JH, McKool KM, Wood-Reid KM, Pasternak RC, Singer DE. Smoking by patients in a smoke-free hospital: prevalence, predictors, and implications. Prev Med. 2000;31(2 Pt 1):159-66.

148. Rigotti NA, Arnsten JH, McKool KM, Wood-Reid KM, Singer DE, Pasternak RC. The use of nicotine-replacement therapy by hospitalized smokers. Am J Prev Med. 1999;17(4):255-9.

149. Rigotti NA, Munafo MR, Stead LF. Interventions for smoking cessation in hospitalised patients. Cochrane Database Syst Rev. 2007;(3):CD001837.

150. Rigotti NA, McKool KM, Shiffman S. Predictors of smoking cessation after coronary artery bypass graft surgery. Results of a randomized trial with 5-year follow-up. Ann Intern Med. 1994;120(4):287-93.

151. Emmons KM, Goldstein MG, Roberts M, Cargill B, Sherman CB, Millman R, et al. The use of nicotine replacement therapy during hospitalization. Ann Behav Med. 2000;22(4):325-9.

152. Goodman MJ, Nadkarni M, Schorling JB. The Natural History of Smoking Cessation Among Medical Patients in a Smoke-Free Hospital. Subst Abus. 1998;19(2):71-79.

153. Munafò M, Rigotti N, Lancaster T, Stead L, Murphy M. Interventions for smoking cessation in hospitalised patients: a systematic review. Thorax. 2001;56(8):656-63.

154. Reid R, Pipe A, Higginson L, Johnson K, D'Angelo MS, Cooke D, et al. Stepped care approach to smoking cessation in patients hospitalized for coronary artery disease. J Cardiopulm Rehabil. 2003;23(3):176-82.

155. Joseph AM, Norman SM, Ferry LH, Prochazka AV, Westman EC, Steele BG, et al. The safety of transdermal nicotine as an aid to smoking cessation in patients with cardiac disease. N Engl J Med. 1996;335(24):1792-8. Erratum in: N Engl J Med. 2007;356(24):2554.

156. Lando H, Hennrikus D, McCarty M, Vessey J. Predictors of quitting in hospitalized smokers. Nicotine Tob Res. 2003;5(2):215-22.

157. Prochaska JJ, Delucchi K, Hall SM. A meta-analysis of smoking cessation interventions with individuals in substance abuse treatment or recovery. J Consult Clin Psychol. 2004;72(6):1144-56.

158. Hughes JR, Kalman D. Do smokers with alcohol problems have more difficulty quitting? Drug Alcohol Depend. 2006;82(2):91-102.

159. Ranney L, Melvin C, Lux L, McClain E, Lohr KN. Systematic review: smoking cessation intervention strategies for adults and adults in special populations. Ann Intern Med. 2006;145(11):845-56.

160. Ratto LR, Menezes PR, Gulinelli A. Prevalence of tobacco use in individuals with severe mental illnesses, São Paulo, Brazil. Rev Saude Publica. 2007;41(4):510-6.

161. Morrell HE, Cohen LM, al'Absi M. Physiological and psychological symptoms and predictors in early nicotine withdrawal. Pharmacol Biochem Behav. 2008;89(3):272-8.

162. Hennekens CH, Hennekens AR, Hollar D, Casey DE. Schizophrenia and increased risks of cardiovascular disease. Am Heart J. 2005;150(6):1115-21.

163. El-Guebaly N, Cathcart J, Currie S, Brown D, Gloster S. Smoking cessation approaches for persons with mental illness or addictive disorders. Psychiatr Serv. 2002;53(9):1166-70.

164. Tsoh JY, Humfleet GL, Muñoz RF, Reus VI, Hartz DT, Hall SM. Development of major depression after treatment for smoking cessation. Am J Psychiatry. 2000;157(3):368-74. Erratum in: Am J Psychiatry 2000;157(8):1359.

165. Hitsman B, Borrelli B, McChargue DE, Spring B, Niaura R. History of depression and smoking cessation outcome: a meta-analysis. J Consult Clin Psychol. 2003;71(4):657-63.

166. US. National Center for Chronic Disease Prevention and Health Promotion. The health consequences of smoking a report of the Surgeon General. [Atlanta, Ga.]: U.S. Public Health Service, National Center for Chronic Disease Prevention and Health Promotion, 2004.

167. Maity P, Biswas K, Roy S, Banerjee RK, Bandyopadhyay U. Smoking and the pathogenesis of gastroduodenal ulcer--recent mechanistic update. Mol Cell Biochem. 2003;253(1-2):329-38.

168. Johnson GJ, Cosnes J, Mansfield JC. Review article: smoking cessation as primary therapy to modify the course of Crohn's disease. Aliment Pharmacol Ther. 2005;21(8):921-31.

169. Mahid SS, Minor KS, Stevens PL, Galandiuk S. The role of smoking in Crohn's disease as defined by clinical variables. Dig Dis Sci. 2007;52(11):2897-903.

170. Kumagi T, Heathcote EJ. Primary biliary cirrhosis. Orphanet J Rare Dis. 2008;23;3:1.

171. Hézode C, Lonjon I, Roudot-Thoraval F, Mavier JP, Pawlotsky JM, Zafrani ES, et al. Impact of smoking on histological liver lesions in chronic hepatitis C. Gut. 2003;52(1):126-9.

172. Weinrieb RM, Lucey MR. Treatment of addictive behaviors in liver transplant patients. Liver Transpl. 2007;13(11 Suppl 2):S79-S82.

173. Haire-Joshu D, Glasgow RE, Tibbs TL. Smoking and diabetes. Diabetes Care. 1999;22(11):1887-98.

174. Willi C, Bodenmann P, Ghali WA, Faris PD, Cornuz J. Active smoking and the risk of type 2 diabetes: a systematic review and meta-analysis. JAMA. 2007;298(22):2654-64.

175. Vestergaard P. Smoking and thyroid disorders--a meta-analysis. Eur J Endocrinol. 2002;146(2):153-61.

176. Holm IA, Manson JE, Michels KB, Alexander EK, Willett WC, Utiger RD. Smoking and other lifestyle factors and the risk of Graves' hyperthyroidism. Arch Intern Med. 2005;165(14):1606-11.

177. Wong PK, Christie JJ, Wark JD. The effects of smoking on bone health. Clin Sci (Lond). 2007;113(5):233-41.

178. Benard A, Bonnet F, Tessier JF, Fossoux H, Dupon M, Mercie P, et al. Tobacco addiction and HIV infection: toward the implementation of cessation programs. ANRS CO3 Aquitaine Cohort. AIDS Patient Care STDS. 2007;21(7):458-68.

179. Rabe KF, Hurd S, Anzueto A, Barnes PJ, Buist SA, Calverley P, et al. Global strategy for the diagnosis, management, and prevention of chronic obstructive pulmonary disease: GOLD executive summary. Am J Respir Crit Care Med. 2007;176(6):532-55.

180. Fletcher C, Peto R. The natural history of chronic airflow obstruction. Br Med J. 1977;1(6077):1645-8.

181. Siroux V, Pin I, Oryszczyn MP, Le Moual N, Kauffmann F. Relationships of active smoking to asthma and asthma severity in the EGEA study. Epidemiological study on the Genetics and Environment of Asthma. Eur Respir J. 2000;15(3):470-7.

182. Ryu JH, Colby TV, Hartman TE, Vassallo R. Smoking-related interstitial lung diseases: a concise review. Eur Respir J. 2001;17(1):122-32.

183. McEwen A, Hajek P, McRobbie, West R. The health risk of smoking and benefits of stopping. In: McEwen A, editor. Manual of smoking cessation: a guide for counsellors and practitioners. Oxford: Blackwell Pub, 2006. p. 15-32.

184. Goldstein LB, Adams R, Alberts MJ, Appel LJ, Brass LM, Bushnell CD, et al. Primary prevention of ischemic stroke: a guideline from the American Heart Association/American Stroke Association Stroke Council: cosponsored by the Atherosclerotic Peripheral Vascular Disease Interdisciplinary Working Group; Cardiovascular Nursing Council; Clinical Cardiology Council; Nutrition, Physical Activity, and Metabolism Council; and the Quality of Care and Outcomes Research Interdisciplinary Working Group: the American Academy of Neurology affirms the value of this guideline. Stroke. 2006;37(6):1583-633.

185. National Institute on Drug Abuse. Relapse Prevention Package: Examines two effective relapse prevention models, the Recovery Training and Self-Help (RTSH) program and the Cue Extinction model. Bethesda: NIDA, 1993.

186. Prochaska JO, DiClemente CC. Stages and processes of self-change of smoking: toward an integrative model of change. J Consult Clin Psychol. 1983;51(3):390-5.

187. Catford JC, Nutbeam D. Smoking in hospitals. Lancet. 1983;2(8341):94-6.

188. Collins D, Lapsley H. The Economics of Tobacco Policy [monograph on the Internet]. Tobacco control factsheets Available from: http://www.globalink.org/en/economics.shtml

189. Hurt RD, Berge KG, Offord KP, Leonard DA, Gerlach DK, Renquist CL, et al. The making of a smoke-free medical center. JAMA. 1989;261(1):95-7.

190. American Hospital Association. Smoking and hospitals are a bad match!: policy development and implementation strategies for a smokefree environment. Chicago: American Hospital Association, 1988.

191. WHO. WHO Report on the Global Tobacco Epidemic, 2008: The MPOWER package. Geneva: World Health Organization, 2008.

192. World Health Organization - WHO [homepage on the Internet]. Geneve: WHO. [cited 2008 Aug 15]. Code of practice on tobacco control for health professional organizations. Available from: http://www.who.int/tobacco/communications/events/codeofpractice/en/

193. Laranjeira R, Ferreira MP. Como criar um hospital livre de cigarros. Rev Ass Med Bras. 1997;43(2):169-72.

194. Hughes JR. Why does smoking so often produce dependence? A somewhat different view. Tob Control. 2001;10(1):62-4.

195. Rondina RC, Botelho C. Silva AM, Gorayeb R. Características de personalidade e dependência nicotínica em universitários fumantes da UFMT. J Pneumol. 2003;29(1):21-7.

196. Black DW, Zimmerman M, Coryell WH. Cigarette smoking and psychiatric disorder in a community sample. Ann Clin Psychiatry. 1999;11(3):129-36.

197. Bejerot S, von Knorring L, Ekselius L. Personality traits and smoking in patients with obsessive-compulsive disorder. Eur Psychiatry. 2000;15(7):395-401.

198. Klesges RC, Eck LH, Isbell TR, Fulliton W, Hanson CL. Smoking status: effects on the dietary intake, physical activity, and body fat of adult men. Am J Clin Nutr. 1990;51(5):784-9.

199. Perkins KA, Epstein LH, Pastor S. Changes in energy balance following smoking cessation and resumption of smoking in women. J Consult Clin Psychol. 1990;58(1):121-5.

200. Gonçalves-Silva RM, Lemos-Santos MG, Botelho C. Influência do tabagismo no ganho ponderal, crescimento corporal, consumo alimentar e hídrico de ratos. J Pneumol. 1997;23(3):124-130.

201. Glauser SC, Glauser EM, Reidenberg MM, Rusy BF, Tallarida RJ. Metabolic changes associated with the cessation of cigarette smoking. Arch Environ Health. 1970;20(3):377-81.

202. Moffatt RJ, Owens SG. Cessation from cigarette smoking: changes in body weight, body composition, resting metabolism, and energy consumption. Metabolism. 1991;40(5):465-70.

203. Lemos-Santos MG, Gonçalves-Silva RM, Botelho C. Tabagismo, composição corporal, distribuição da adiposidade e ingestão alimentar em fumantes, não fumantes e ex-fumantes. F Med. 2000;119(3):23-31.

204. Eliasson B, Hjalmarson A, Kruse E, Landfeldt B, Westin A . Effect of smoking reduction and cessation on cardiovascular risk factors. Nicotine Tob Res. 2001;3(3):249-55.

205. Hatsukami DK, Kotlyar M, Allen S, Jensen J, Li S, Le C, et al. Effects of cigarette reduction on cardiovascular risk factors and subjective measures. Chest. 2005;128(4):2528-37.

206. Prescott E, Scharling H, Osler M, Schnohr P. Importance of light smoking and inhalation habits on risk of myocardial infarction and all cause mortality. A 22 year follow up of 12 149 men and women in The Copenhagen City Heart Study. J Epidemiol Community Health. 2002;56(9):702-6.

207. Prescott E, Hippe M, Schnohr P, Hein HO, Vestbo J. Smoking and risk of myocardial infarction in women and men: longitudinal population study. BMJ. 1998;316(7137):1043-7.

208. Godtfredsen NS, Osler M, Vestbo J, Andersen I, Prescott E. Smoking reduction, smoking cessation, and incidence of fatal and non-fatal myocardial infarction in Denmark 1976-1998: a pooled cohort study. J Epidemiol Community Health. 2003;57(6):412-6.

209. Bjartveit K, Tverdal A. Health consequences of smoking 1-4 cigarettes per day. Tob Control. 2005;14(5):315-20.

210. Rodu B, Godshall WT. Tobacco harm reduction: an alternative cessation strategy for inveterate smokers. Harm Reduct J. 2006;3:37.

211. Tomar SL. Epidemiologic perspectives on smokeless tobacco marketing and population harm. Am J Prev Med. 2007;33(6 Suppl):S387-S97.

212. Henley SJ, Thun MJ, Connell C, Calle EE. Two large prospective studies of mortality among men who use snuff or chewing tobacco (United States). Cancer Causes Control. 2005;16(4):347-58.

213. Teo KK, Ounpuu S, Hawken S, Pandey MR, Valentin V, Hunt D, et al. Tobacco use and risk of myocardial infarction in 52 countries in the INTERHEART study: a case-control study. Lancet. 2006;368(9536):647-58.

214. Godtfredsen NS, Holst C, Prescott E, Vestbo J, Osler M. Smoking reduction, smoking cessation, and mortality: a 16-year follow-up of 19,732 men and women from The Copenhagen Centre for Prospective Population Studies. Am J Epidemiol. 2002;156(11):994-1001.

215. Hecht SS, Murphy SE, Carmella SG, Zimmerman CL, Losey L, Kramarczuk I, et al. Effects of reduced cigarette smoking on the uptake of a tobacco-specific lung carcinogen. J Natl Cancer Inst. 2004;96(2):107-15.

216. Hecht SS, Murphy SE, Carmella SG, Li S, Jensen J, Le C, et al. Similar uptake of lung carcinogens by smokers of regular, light, and ultralight cigarettes. Cancer Epidemiol Biomarkers Prev. 2005;14(3):693-8. Erratum in: Cancer Epidemiol Biomarkers Prev. 2006;15(8):1568.

217. Cogliano V, Straif K, Baan R, Grosse Y, Secretan B, El Ghissassi F. Smokeless tobacco and tobacco-related nitrosamines. Lancet Oncol. 2004;5(12):708.

218. Rodu B, Cole P. Smokeless tobacco use and cancer of the upper respiratory tract. Oral Surg Oral Med Oral Pathol Oral Radiol Endod. 2002;93(5):511-5.

219. Rennard SI, Daughton D, Fujita J, Oehlerking MB, Dobson JR, Stahl MG, et al. Short-term smoking reduction is associated with reduction in measures of lower respiratory tract inflammation in heavy smokers. Eur Respir J. 1990;3(7):752-9.

220. Rennard SI, Umino T, Millatmal T, Daughton DM, Manouilova LS, Ullrich FA, et al. Evaluation of subclinical respiratory tract inflammation in heavy smokers who switch to a cigarette-like nicotine delivery device that primarily heats tobacco. Nicotine Tob Res. 2002;4(4):467-76.

221. Jiménez-Ruiz C, Solano S, Viteri SA, Ferrero MB, Torrecilla M, Mezquita MH. Harm reduction--a treatment approach for resistant smokers with tobacco-related symptoms. Respiration. 2002;69(5):452-5.

222. Stein MD, Weinstock MC, Herman DS, Anderson BJ. Respiratory symptom relief related to reduction in cigarette use. J Gen Intern Med. 2005;20(10):889-94.

223. Simmons MS, Connett JE, Nides MA, Lindgren PG, Kleerup EC, Murray RP, et al. Smoking reduction and the rate of decline in FEV(1): results from the Lung Health Study. Eur Respir J. 2005;25(6):1011-7.

224. Godtfredsen NS, Vestbo J, Osler M, Prescott E. Risk of hospital admission for COPD following smoking cessation and reduction: a Danish population study. Thorax. 2002;57(11):967-72.

225. Stratton K, Shetty P, Wallace R, Bondurant S, editors. Clearing the Smoke: assessing the science base for harm reduction. Washington, DC: Institute of Medicine, National Academies Press, 2001.

226. McNeill A. Harm reduction. BMJ. 2004;328(7444):885-7.

227. Foulds J, Ramstrom L, Burke M, Fagerström K. Effect of smokeless tobacco (snus) on smoking and public health in Sweden. Tob Control. 2003;12(4):349-59.

228. Biener L, Bogen K, Connolly G. Impact of corrective health information on consumers' perceptions of "reduced exposure" tobacco products. Tob Control. 2007;16(5):306-11.

229. Fagerström KO, Hughes JR, Rasmussen T, Callas PW. Randomised trial investigating effect of a novel nicotine delivery device (Eclipse) and a nicotine oral inhaler on smoking behaviour, nicotine and carbon monoxide exposure, and motivation to quit. Tob Control. 2000;9(3):327-33.

230. Slade J, Connolly GN, Lymperis D. Eclipse: does it live up to its health claims? Tob Control. 2002;11 Suppl 2:ii64-70.

231. Tverdal A, Bjartveit K. Health consequences of reduced daily cigarette consumption. Tob Control. 2006;15(6):472-80.

232. Tonnesen P, Carrozzi L, Fagerström KO, Gratziou C, Jimenez-Ruiz C, Nardini S, et al. Smoking cessation in patients with respiratory diseases: a high priority, integral component of therapy. Eur Respir J. 2007;29(2):390-417.

233. Stead LF, Lancaster T. Interventions to reduce harm from continued tobacco use. Cochrane Database Syst Rev. 2007;(3):CD005231.

234. Brasil. Instituto Nacional do Câncer. Ação global para o controle do tabaco. Primeiro Tratado Internacional de Saúde Pública. Brasília: Ministério da Saúde, 2002.

235. International Agency for Research on Cancer. IARC monographs on the evaluation of the carcinogenic risk of chemicals to man. Lyon: International Agency for Research on Cancer, 1986.

236. U.S. Department of Health and Human Services. The Health Consequences of Involuntary Exposure to Tobacco Smoke: A Report of the Surgeon General. Atlanta: U.S. Department of Health and Human Services, Centers for Disease Control and Prevention, Coordinating Center for Health Promotion, National Center for Chronic Disease Prevention and Health Promotion, Office on Smoking and Health, 2006.

237. Olds DL, Henderson CR Jr, Tatelbaum R. Intellectual impairment in children of women who smoke cigarettes during pregnancy. Pediatrics. 1994;93(2):221-7. Erratum in: Pediatrics 1994;93(6 Pt 1):973.

238. DiFranza JR, Aligne CA, Weitzman M. Prenatal and postnatal environmental tobacco smoke exposure and children's health. Pediatrics. 2004;113(4 Suppl):1007-15.

239. Johnson JG, Cohen P, Pine DS, Klein DF, Kasen S, Brook JS. Association between cigarette smoking and anxiety disorders during adolescence and early adulthood. JAMA. 2000;284(18):2348-51.

240. Naeye RL. Cognitive and behavioral abnormalities in children whose mothers smoked cigarettes during pregnancy. J Dev Behav Pediatr. 1992;13(6):425-8.

241. Vineis P, Airoldi L, Veglia F, Olgiati L, Pastorelli R, Autrup H, et al. Environmental tobacco smoke and risk of respiratory cancer and chronic obstructive pulmonary disease in former smokers and never smokers in the EPIC prospective study. BMJ. 2005;330(7486):277.

242. Eisner MD, Balmes J, Katz PP, Trupin L, Yelin EH, Blanc PD. Lifetime environmental tobacco smoke exposure and the risk of chronic obstructive pulmonary disease. Environ Health. 2005;4(1):7.










Study carried out at the Sociedade Brasileira de Pneumologia e Tisiologia - SBPT, Brazilian Thoracic Association - Brasília, Brazil.
1. President of the Commission on Smoking of the Sociedade Brasileira de Pneumologia e Tisiologia - SBPT, Brazilian Thoracic Society - Brasília (DF) Brazil. Full member of the Commission on Smoking of the Associação Médica Brasileira - AMB, Brazilian Medical Association - São Paulo (SP) Brazil.
2. Director of the Núcleo de Estudos para Tratamento do Tabagismo - NETT, Center for Research on the Treatment of Smoking. Instituto de Doenças do Tórax (IDT, Thoracic Diseases Institute), Clementino Fraga Filho University Hospital of the Universidade Federal do Rio de Janeiro (UFRJ, Federal University of Rio de Janeiro), Rio de Janeiro, Brazil. Researcher in the Laboratory of Socal Development Technology of the Instituto Alberto Luiz Coimbra de Pós-Graduação e Pesquisa em Engenharia (COPPE, Alberto Luiz Coimbra Institute for Postgraduate Work and Research in Engineering)/UFRJ, Rio de Janeiro, Brazil. Associate Professor in the Postgraduate Program of the Pontifícia Universidade Católica do Rio de Janeiro (PUC-Rio, Pontifical Catholic University of Rio de Janeiro) School of Medicine, Rio de Janeiro, Brazil.
3. Coordinator of the Center for Research on Nicotine Dependence Treatment. Instituto Nacional do Câncer - INCA, Brazilian National Cancer Institute - Ministry of Health - Rio de Janeiro, Brazil. Coordinator of the Niterói Municipal Program for Smoking Control, Niterói, Brazil.
4. Tenured Professor of Pulmonology/Coordinator of the Smoking Cessation Program. Department of Pulmonology of the Universidade Estadual Paulista - UNESP, São Paulo State University - Botucatu School of Medicine, Botucatu, Brazil.
5. Full Professor of Pulmonology. Department of Pulmonology, São Lucas Hospital, Pontifícia Universidade Católica do Rio Grande do Sul - PUCRS, Pontifical Catholic University of Rio Grande do Sul - School of Medicine, Porto Alegre, Brazil.
6. Coordinator of the Smoking Control Program. Messejana Hospital, Fortaleza, Brazil.
7. Coordinator of PrevFumo. Universidade Federal de São Paulo - UNIFESP, Federal University of São Paulo - São Paulo, Brazil. Coordinator of the Paulista Thoracic Society Commission on Smoking, São Paulo (SP) Brasil.
Correspondence to: Jonatas Reichert. Rua Padre Anchieta, 1846, Complemento 1º A, Sala 1003, Bairro Champagnat, CEP 80730-000, Curitiba, PR, Brasil.
Financial support: None.
Submitted: 5 August 2008. Accepted, after review: 7 August 2008.

Indexes

Development by:

© All rights reserved 2025 - Jornal Brasileiro de Pneumologia