Continuous and bimonthly publication
ISSN (on-line): 1806-3756

Licença Creative Commons
22847
Views
Back to summary
Open Access Peer-Reviewed
Original Article

Bronchodilation in COPD: beyond FEV1-the effect of albuterol on resistive and reactive properties of the respiratory system

Broncodilatação na DPOC: muito além do VEF1-efeito do salbutamol nas propriedades resistivas e reativas do sistema respiratório

Gerusa Marítimo da Costa, Alvaro Camilo Dias Faria, Ana Maria Gonçalves Tavares Di Mango, Agnaldo José Lopes, José Manoel Jansen, Pedro Lopes de Melo

ABSTRACT

Objective: Current debates on the bronchodilator response in COPD patients and whether the variation in FEV1 can be considered as an indicator of complete reversibility in such patients motivated us to conduct this study. The objective of the study was to determine the effect of albuterol on the resistive and reactive properties of the respiratory system in COPD patients. Methods: We evaluated 70 patients with COPD, divided into two groups based on spirometry findings: bronchodilator (BD)-negative (n = 39); and BD-positive (n = 31). We used the forced oscillation technique (FOT) to evaluate the following parameters: resistance at the intercept (R0), associated with the total resistance of the respiratory system; mean resistance (Rm), associated with central airway resistance; dynamic compliance (Cdyn); and the slope of resistance (S) and mean reactance (Xm), both of which are associated with the homogeneity of the respiratory system. Results: The use of albuterol resulted in significant reductions in R0 (p < 0.00002) and Rm (p < 0.0002). There were also significant increases in S (p < 0.0001), Cdyn (p < 0.0001) and Xm (p < 0.00004). These modifications occurred in both groups, the changes in FOT parameters being greater than those observed for spirometric parameters. Conclusions: The use of albuterol improved the resistive and reactive properties of the respiratory system of the COPD patients under study. These changes occurred regardless of the FEV1-based classification, thereby indicating that the use of this parameter in isolation might not suffice to identify the physiological effects involved.

Keywords: Pulmonary disease, chronic obstructive; Bronchodilator agents; Spirometry; Albuterol.

RESUMO

Objetivo: Atualmente existem importantes debates na literatura sobre a resposta broncodilatadora em pacientes com DPOC e se a variação do VEF1 pode ser considerada uma indicação completa de reversibilidade neste caso particular. O objetivo deste estudo foi investigar o efeito do salbutamol nas propriedades resistivas e elásticas do sistema respiratório de portadores de DPOC. Métodos: Foram avaliados 70 indivíduos com DPOC, classificados através da espirometria em dois grupos: broncodilatador (BD)-negativo (n = 39); e BD-positivo (n = 31). Utilizou-se a técnica de oscilações forçadas (TOF) para avaliar os seguintes parâmetros: a resistência no intercepto (R0), associada à resistência total do sistema respiratório; a resistência média (Rm), relacionada à resistência de vias aéreas centrais; e a complacência dinâmica (Cdyn); assim como o coeficiente angular da resistência (S) e a reatância média (Xm), relacionados com a homogeneidade do sistema respiratório. Resultados: O uso do salbutamol resultou em reduções significativas de R0 (p < 0,00002) e Rm (p < 0,0002). Foram também observadas elevações significativas em S (p < 0,0001), Cdyn (p < 0,0001) e Xm (p < 0,00004). Estas alterações ocorreram tanto nos dois grupos, tendo sido observadas maiores modificações nos parâmetros da TOF do que nos parâmetros da espirometria. Conclusões: O uso de salbutamol melhorou o comportamento dos componentes resistivos e reativos do sistema respiratório dos pacientes com DPOC estudados. Estas mudanças ocorreram independentemente da classificação do exame empregando o VEF1, o que indica que a utilização deste parâmetro isoladamente pode não ser suficiente para identificar completamente os efeitos fisiológicos envolvidos.

Palavras-chave: Doença pulmonar obstrutiva crônica; Broncodilatadores; Espirometria; Salbutamol.

Introduction

Traditionally, the evaluation of acute reversibility in response to bronchodilator inhalation is based on spirometry findings, especially those regarding the variation in FEV1(1-3) and those regarding FVC.(4) In recent years, some studies have demonstrated that, in COPD patients, increases in vital capacity and inspiratory capacity reflect reduced residual volume, which correlates with decreased dyspnea and improved exercise performance, even in the absence of improved FEV1.(5,6) Therefore, the variation in FEV1 might not suffice as an indicator of reversibility in this particular case.(7) In fact, there is no consensus regarding the best technique to evaluate the effect of bronchodilator administration in COPD patients.(1) Studies using techniques such as plethysmography(8,9) and the forced oscillation technique (FOT)(10) have shown that these techniques provide improvements in pulmonary function.

The effectiveness of bronchodilators in COPD patients is another controversial issue.(11-13) Previous studies have demonstrated that many COPD patients present significant bronchodilator reversibility.(11,13) Two authors have also reported bronchodilator responsiveness.(14) However, clinical studies using symptoms as scores have indicated that bronchodilators provide clinical benefits to COPD patients.(15) This apparent discrepancy between clinical results and pulmonary function parameters might be related to the technique used to evaluate the effect of the medication. Spirometry requires patients to inhale deeply during the tests. This maneuver can alter the airway tonus,(2,16) influencing the trial results. In addition, bronchodilators can improve respiratory mechanics in COPD patients even in the presence of slight changes in FEV1, such as those resulting from a reduction in lung hyperinflation.(2,3) Another important factor is that bronchodilators can have an effect not only on the airways but also on other lung components. Therefore, a measurement technique that allows a comprehensive evaluation of respiratory mechanics can contribute to the investigation of the effects of bronchodilator use, improving our understanding regarding the therapeutic effects of bronchodilator use in COPD patients.

The principal advantages presented by FOT include demanding little cooperation from the patient and providing parameters to complement the spirometric analysis. The technique is based on the application of small-amplitude pressure oscillations to the respiratory system of a patient breathing spontaneously. The measurement of the pressure and of the corresponding flow allows respiratory impedance to be estimated. Recent studies have shown that new parameters obtained using FOT allow a detailed analysis of the respiratory system, contributing to a better understanding of the physiopathology involved, evaluating responses and optimizing treatment.(17,18) It is worthy of note that, especially in studies of bronchodilator response in COPD patients, FOT has the advantage of describing the characteristics of the respiratory system as a whole, including the airways, the lungs and the chest wall.

Although FOT is a promising method of evaluating the effects of bronchodilator use in COPD patients, there have been only two studies on the subject.(10,19) Some studies using impulse oscillometry have been carried out.(2,3) However, impulse oscillometry presents differences in relation to the classical system used in FOT, including data processing and the parameters used in the interpretation of the results.(16,20) To our knowledge, there have been no studies investigating the effect of bronchodilators in COPD patients who have different responses to the spirometry test.

Therefore, the objective of the present study was to investigate, using FOT, the effect of albuterol on the resistive and reactive properties of the respiratory system in two groups of COPD patients-those with and those without reversibility, as determined by the spirometry test.

Methods

We evaluated patients treated at the COPD outpatient clinic of the Hospital Universitário Pedro Ernesto (HUPE, Pedro Ernesto University Hospital), located in the city of Rio de Janeiro, Brazil. Consecutive patients were evaluated and classified into two groups based on the bronchodilator response. The first group consisted of patients with bronchodilator response, which was identified based on the presence of a variation of 12% and 200 mL in FEV1 or of 350 mL in FVC, predicted after the use of 300 µg of inhaled albuterol.(21) This group was designated BD-positive.

The second group included patients without bronchodilator response, according to the criteria established by the Brazilian Thoracic Association.(21) This group was designated BD-negative. The patients were asked to abstain from using short-acting bronchodilators for 6 h and from using long-acting bronchodilators for 12 h. The patients evaluated presented clinical stability at the time of evaluation. Patients with asthma, sinusitis or rhinitis, as well as patients who had TB, pneumonia or respiratory infections 3 weeks prior to the test, were excluded from the study, as were those who did not properly perform the spirometry tests or FOT. The diagnosis of asthma was excluded based on the analysis of the clinical history of the patients. The present study was approved by the Ethics Committee of the HUPE and was conducted in accordance with the specifications of the Declaration of Helsinki. All patients gave written informed consent prior to undergoing the pulmonary function tests.

At inclusion, in order to avoid the effects of the deep inhalation maneuver on the airways, patients were initially evaluated by FOT. Subsequently, spirometry was performed, and the bronchodilator was administered. After 15 min, the patients were again evaluated by FOT and by spirometry.

The system used for the FOT analyses applies sinusoidal pressure signals with whole multiple frequencies of 2 Hz in the 4-32 Hz range. The measurement of the pressure applied and of the resulting flow allows respiratory impedance to be estimated by Fourier analysis.(16,17,22) In order to evaluate the bronchodilator response by FOT, we used the parameters originating from the respiratory system resistance and reactance curves. Using linear regression of the resistance curve, carried out in the 4-16 Hz frequency range, we obtained resistance at the intercept (R0) and the slope of resistance (S), as well as mean resistance (Rm) in the 4-16 Hz range. Whereas R0 is associated with total resistance and S is associated with the homogeneity of the respiratory system, Rm is associated with central airway resistance.(16,17,22) Based on the reactance obtained at 4 Hz, we calculated the dynamic compliance (Cdyn) of the respiratory system (Cdyn = −1/2π × f × Xrs, 4 Hz), as well as mean reactance (Xm), which is associated with the homogeneity of the respiratory system.

During the test, the patients remained positioned in front of the equipment, to which they were attached by a silicone mouthpiece. A nose chip was used, and the patients, breathing at functional residual capacity, firmly pressed their cheeks with both hands in order to reduce the shunt effect.(17,19) Three consecutive trials, each lasting approximately 16 s, were carried out, and the mean was considered the final result. The coherence function used for the acceptance of the results was set at a minimum of 0.9.(16,22)

Subsequently, the following parameters were evaluated by spirometry: FEV1; FEV1% (percentage of predicted); FVC; and FEF25-75% (percentage of predicted), all of which were measured using a bellows spirometer (Vitatrace VT 130 SL; Pro Médico Ind Ltda., Rio de Janeiro, Brazil), according to the technical specification established by the American Thoracic Society and by other authors.(23,24)

Bronchodilator administration was performed by means of the inhalation of three puffs of albuterol, each containing 100 µg, at 1-min intervals, using a spacer mouthpiece. The total dose administered was 300 µg.

The results are presented as mean ± SD. Figures were created and statistical analyses were performed using the ORIGIN 6.0 program (OriginLab, Northhampton, MA, USA) and the STATISTICA 5.0 program (StatSoft Inc., Tulsa, OK, USA). The paired Student's t-test was used when the parameters presented normal distribution, and the Wilcoxon test was used when the parameters did not follow this distribution. The level of statistical significance was ser at p < 0.05.

Results

The anthropometric characteristics of the groups under study are shown in Table 1. No significant differences in the parameters were found between the groups under study.




In the BD-positive group, significant increases were observed in all the
spirometric parameters under study (Table 2). The comparisons in the BD-negative group showed changes of lower statistical significance, and the changes in FEV1(%) were not significant.



In the BD-negative group, the values of the differences among and the percentage variations of the spirometric parameters were lower than those associated with the BD-positive group (Table 3).



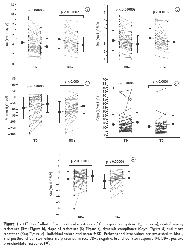
Figure 1 shows the variations in the FOT parameters. Bronchodilator use resulted in significant reductions (p < 0.0002) in R0 and Rm in all conditions studied. Practically all patients analyzed presented a reduction in the parameters mentioned (Figures 1a and 1b). The parameter S presented a significant increase (p < 0.0001) with bronchodilator use (Figure 1c), and most patients presented more positive values after bronchodilator use. A similar fact was observed in the analysis of the reactive parameters Cdyn (Figure 1d) and Xm (Figure 1e), resulting in significant increases in these parameters (p < 0.0005 and p < 0.0004, respectively).



The variation in the parameters associated with FOT in the two groups was similar (Table 4).



Discussion

Currently, there is significant debate regarding bronchodilator response in COPD patients in the literature. A very recent study involving 5,756 COPD patients(13) demonstrated that more than half of the patients met the most common criteria for the presence of bronchodilator response. An editorial commenting on the study mentioned above(12) highlighted the fact that those results contradict the currently held belief that pulmonary function is largely irreversible in COPD patients. The authors suggested that this concept be reevaluated.

There are indications that bronchodilators can improve pulmonary mechanics in COPD patients, despite the small variation in FEV1.(2) Since FEV1 is a variable that is simple, reproducible and affordably measured, it is the measurement most often employed in clinical studies of bronchodilation in COPD patients.(5) However, the use of FEV1 in such studies has limitations, such as the possibility of introducing changes in airway diameter(16) as well as the fact that these measurements do not correlate well with exercise capacity or dyspnea.(5) One group of authors highlighted that FEV1 is often insensitive to significant physiological changes in pulmonary mechanics, such as those caused a reduction in hyperinflation.(3) In addition, the variations in FEV1 resulting from bronchodilator therapy are incapable of describing the improvement of symptoms and the increase in exercise capacity.(1,5) Other authors have demonstrated that many COPD patients, even without improvement in FEV1 after bronchodilator use, presented clinical improvement and relief of dyspnea.(25) A recent study,(26) however, demonstrated that COPD patients with no response in FEV1 can present a significant improvement in pulmonary function after formoterol administration. One author stated that the evaluation of the therapeutic efficacy of bronchodilator use in COPD patients, based only on FEV1 measurements, can lead to overestimation of the real clinical benefits offered to such patients.(1) The same author suggested creating new indices that allow us to increase our ability to evaluate the clinical benefits of bronchodilator therapy in COPD patients.

In this context, in order to help to elucidate the question regarding the effects of albuterol in COPD patients, the present study analyzed the changes in the resistive and elastic properties of the respiratory system of patients with a positive response and of those with a negative response to
the spirometry test.

The greater proportion of males in the two groups evaluated in the present study (Table 1) can be explained by the higher incidence of smoking among males in the age bracket under study. The results obtained in the BD-positive group (Tables 2 and 3) were expected, due to the selection criteria in this group,(21) the mean increases in in FEV1 and FVC being 260 mL (22%) of 470 mL, respectively. However, the spirometric changes observed in the BD-negative group, although significant, did not meet the criteria for classification as a positive bronchodilator response. It is notable that there was an increase of 50 mL (4%) in FEV1 and of 70 mL in FVC (Table 3).

One group of authors stated that bronchodilation in COPD patients causes an increase in airway diameter, which results in decreased airway resistance.(2) This can partially explain the significant decrease that we found in the parameters R0 and Rm after bronchodilator use. In contrast to the results presented in Figures 1a and 1b, a significant decrease in resistance values after bronchodilator use has not been reported in some other studies.(10) This discrepancy can be explained by the difference between the frequency ranges employed in the instruments used in the two studies. Whereas the frequency range employed in another study was 12-52 Hz,(10) the range employed in the instrument used in the present study was 4-32 Hz. It is now known that the assessment of obstruction is more accurate at low frequencies, especially in the 0-16 Hz range.(16-18,22) Therefore, the frequency range employed in the study mentioned above might not suffice to identify the effects of the bronchodilator on airway obstruction.

Figure c shows the changes in S. This parameter describes the heterogeneity of the mechanical properties in different areas of the lungs.(17,18) Bronchodilator use decreased S values in all patients under study, which might reflect a reduction in the impedance of the respiratory system of these patients(19) or a tendency toward increasing the homogeneity of the system. Although there was a reduction in S with albuterol use, this parameter remained negative in the two groups, indicating that not all the imbalances in time constants of the respiratory system were eliminated with bronchodilator use. The S values were more negative in the BD-positive group than in the BD-negative group, indicating the presence of greater heterogeneity in the BD-positive group. The results presented in Figure 1c are in accordance with those reported by another group of authors, who measured respiratory impedance in a COPD patient prior to and after isoproterenol inhalation and observed a marked change in S-this change being characterized by a return to normal.(27)

Respiratory system reactance receives contributions from two components: inertance and Cdyn, the latter being dominant in low frequencies. There is a reduction in Cdyn due to the airway obstruction and the heterogeneity of the respiratory system. Prior to albuterol use, we observed reduced Cdyn values (Figure 1D), a finding that is in agreement with the results obtained in previous studies involving COPD patients(24) and asthma patients.(16) After bronchodilator use, Cdyn increased, presenting significant changes in the BD-negative group and in the BD-positive group. According to some authors,(28) bronchodilators increase airway wall compliance and relax the smooth muscles of the bronchi, which could explain the improvement in Cdyn. Another group authors found an increase in Cdyn after albuterol use in patients with obstruction (18 asthma patients and 20 COPD patients).(29) The change in compliance principally reflects events occurring in the airway periphery.

Therefore, an increase in compliance probably reflects an improvement in lung expansion, associated with peripheral airway dilatation. This increase results in improvement in ventilation homogeneity after albuterol inhalation.(29) However, small airway bronchodilation causes a decrease in hyperinflation, leading to an improvement in lung compliance.(2)

The results presented in Figure 1E show that Xm increased after the administration of inhaled albuterol. These results are in accordance with those reported in a study of one COPD patient in whom the reactance values became more positive after albuterol use.(27) Another group of authors,(10) studying 20 COPD patients, also observed a significant increase in reactance after albuterol use. This increase can be explained by the greater airway compliance and the decreased peripheral resistance. The increase in Xm observed in the present study is consistent with the behavior of the reactance measured at 5 Hz in another study,(2) in which the authors reported an increase in reactance to small airway bronchodilation, causing a reduction in the obstruction and resulting in improved lung compliance.

Bronchodilation in COPD patients causes an increase in airway diameter, increasing ­expiratory capacity, and a consequent increase in FEV1.(2) The increase in bronchodilator response might be associated with the increase in susceptibility to COPD or with the acquisition of the smoking habit at an early age by susceptible individuals. Mechanically, airway smooth muscle tone can be increased in COPD patients, which can explain the reversible component of the airway obstruction in such patients.(30) In fact, bronchodilation in COPD patients causes complex changes in pulmonary physiology; spirometry and FOT evaluate different aspects of such changes. Whereas spirometry allows the analysis of expiratory volumes and flows, FOT provides parameters related to resistance and reactance of the respiratory system, complementing the spirometric analysis.

The results found in COPD patients and the absence of bronchodilator response to inhaled albuterol as determined by spirometry findings are consistent with the statement that COPD patients, whose airflow limitation was ­classified as irreversible based on the acute FEV1 response, can benefit from albuterol inhalation.(19) The efficacy of β-agonists in COPD patients can be explained by the greater bronchodilation. These agonists also act on the lung epithelial cells-inhibiting the proliferation of airway smooth muscle cells-and promote the release of inflammatory mediators.

In addition, β-agonists stimulate mucociliary transport, affect cell proliferation in the respiratory mucosa-decreasing the activation and recruiting of neutrophils-and act on the respiratory muscles, thereby contributing to the overall clinical efficacy in COPD patients. The use of β-agonists is associated with improved quality of life, reducing the number of exacerbations and the severity of the disease, as well as having a positive impact on the total cost of health care for such patients.(15)

The results presented indicate that albuterol use in COPD patients introduces changes in respiratory mechanics that are related to changes in the resistive and reactive properties of the respiratory system. There were reductions in the parameters associated with total resistance and airway resistance, as well as an improvement in the parameters associated with the homogeneity and Cdyn of the respiratory system. These changes occurred regardless of the FEV1-based classification, thereby indicating that the use of this parameter in isolation might not suffice to identify the physiological effects involved. These results can help to elucidate the recent discussion on bronchodilator response in COPD patients.

Further studies are needed in order to evaluate the relationships among the changes in FOT parameters resulting from albuterol use in COPD patients, their response to exercise and their clinical symptoms, such as decreased dyspnea, reduced residual volume and improved quality of life.

Acknowledgments

The authors would like to thank Dr. Arnaldo José Noronha Filho and Dr. Margareth Martins Gomes-staff physicians in the HUPE Department of Pulmonology-for their assistance in recruiting the volunteers.

References


1. Lavorini F. Quantifying bronchodilator responses in chronic obstructive pulmonary disease trials. Br J Clin Pharmacol. 2005;59(4):385-6.

2. Borrill ZL, Houghton CM, Woodcock AA, Vestbo J, Singh D. Measuring bronchodilation in COPD clinical trials. Br J Clin Pharmacol. 2005;59(4):379-84.

3. Borrill ZL, Houghton CM, Tal-Singer R, Vessey SR, Faiferman I, Langley SJ, et al. The use of plethysmography and oscillometry to compare long-acting bronchodilators in patients with COPD. Br J Clin Pharmacol. 2008;65(2):244-52.

4. Pereira CA. Espirometria. J Pneumol. 2002;28(Suppl 3): S1-S82.

5. O'Donnell DE, Revill SM, Webb KA. Dynamic hyperinflation and exercise intolerance in chronic obstructive pulmonary disease. Am J Respir Crit Care Med. 2001;164(5):770-7.

6. Schermer T, Heijdra Y, Zadel S, van den Bemt L, Boonman-de Winter L, Dekhuijzen R, et al. Flow and volume responses after routine salbutamol reversibility testing in mild to very severe COPD. Respir Med. 2007;101(6):1355-62.

7. Tantucci C, Duguet A, Similowski T, Zelter M, Derenne JP, Milic-Emili J. Effect of salbutamol on dynamic hyperinflation in chronic obstructive pulmonary disease patients. Eur Respir J. 1998;12(4):799-804.

8. Cerveri I, Pellegrino R, Dore R, Corsico A, Fulgoni P, van de Woestijne KP, et al. Mechanisms for isolated volume response to a bronchodilator in patients with COPD. J Appl Physiol. 2000;88(6):1989-95.

9. O'Donnell DE, Forkert L, Webb KA. Evaluation of bronchodilator responses in patients with "irreversible" emphysema. Eur Respir J. 2001;18(6):914-20.

10. Wouters EF, Verschoof AC, Polko AH, Visser BF. Impedance measurements of the respiratory system before and after salbutamol in COPD patients. Respir Med. 1989;83(4):309-13.

11. Jansen JM. Reatividade brônquica: resposta broncodilatadora na asma e na doença pulmonar obstrutiva crônica. Rio de Janeiro: Academia Nacional de Medicina; 1996.

12. Soriano JB, Mannino DM. Reversing concepts on COPD irreversibility. Eur Respir J. 2008;31(4):695-6.

13. Tashkin DP, Celli B, Decramer M, Liu D, Burkhart D, Cassino C, et al. Bronchodilator responsiveness in patients with COPD. Eur Respir J. 2008;31(4):742-50.

14. Vestbo J, Hansen EF. Airway hyperresponsiveness and COPD mortality. Thorax. 2001;56 Suppl 2:ii11-4.

15. Johnson M, Rennard S. Alternative mechanisms for long-acting beta(2)-adrenergic agonists in COPD. Chest. 2001;120(1):258-70.

16. Cavalcanti JV, Lopes AJ, Jansen JM, Melo PL. Using the forced oscillation technique to evaluate bronchodilator response in healthy volunteers and in asthma patients presenting a verified positive response. J Bras Pneumol. 2006;32(2):91-8.

17. Melo PL, Werneck MM, Gianella-Neto A. Avaliação da mecânica ventilatória por oscilações forçadas: fundamentos e aplicações clínicas. J Pneumol. 2000;26(4):194-206.

18. Oostveen E, MacLeod D, Lorino H, Farré R, Hantos Z, Desager K, et al. The forced oscillation technique in clinical practice: methodology, recommendations and future developments. Eur Respir J. 2003;22(6):1026-41.

19. Zerah F, Lorino AM, Lorino H, Harf A, Macquin-Mavier I. Forced oscillation technique vs spirometry to assess bronchodilatation in patients with asthma and COPD. Chest. 1995;108(1):41-7.

20. Hellinckx J, Cauberghs M, De Boeck K, Demedts M. Evaluation of impulse oscillation system: comparison with forced oscillation technique and body plethysmography. Eur Respir J. 2001;18(3):564-70.

21. Sociedade Brasileira de Pneumologia e Tisiologia. Diretrizes para testes de função pulmonar. J Pneumol. 2002;28(Suppl 3):S1-S238.

22. Di Mango AM, Lopes AJ, Jansen JM, Melo PL. Changes in respiratory mechanics with increasing degrees of airway obstruction in COPD: detection by forced oscillation technique. Respir Med. 2006;100(3):399-410.

23. Knudson RJ, Lebowitz MD, Holberg CJ, Burrows B. Changes in the normal maximal expiratory flow-volume curve with growth and aging. Am Rev Respir Dis. 1983;127(6):725-34.

24. Pereira CA, Barreto SP, Simões JG, Pereira FW, Gerstler JG, Nakatani J. Valores de referência para espirometria em uma amostra da população brasileira adulta. J Pneumol. 1992;18(1):10-22.

25. Tavares FM, Silva LC, Rubin AS. Measuring forced expiratory volume in one second alone is not an accurate method of assessing response to bronchodilators in chronic obstructive pulmonary disease. J Bras Pneumol. 2005;31(5):407-14.

26. Rubin AS, Souza FJ, Hetzel JL, Moreira JS. Immediate bronchodilator response to formoterol in poorly reversible chronic obstructive pulmonary disease. J Bras Pneumol. 2008;34(6):373-9.

27. Michaelson ED, Grassman ED, Peters WR. Pulmonary mechanics by spectral analysis of forced random noise. J Clin Invest. 1975;56(5):1210-30.

28. Delacourt C, Lorino H, Herve-Guillot M, Reinert P, Harf A, Housset B. Use of the forced oscillation technique to assess airway obstruction and reversibility in children. Am J Respir Crit Care Med. 2000;161(3 Pt 1):730-6.

29. Lorino AM, Zerah F, Mariette C, Harf A, Lorino H. Respiratory resistive impedance in obstructive patients: linear regression analysis vs viscoelastic modelling. Eur Respir J. 1997;10(1):150-5.

30. Palmer LJ, Celedón JC, Chapman HA, Speizer FE, Weiss ST, Silverman EK. Genome-wide linkage analysis of bronchodilator responsiveness and post-bronchodilator spirometric phenotypes in chronic obstructive pulmonary disease. Hum Mol Genet. 2003;12(10):1199-210. Erratum in: Hum Mol Genet. 2003;12(16):2085.



About the authors

Gerusa Marítimo da Costa
Physical Therapist. Rio de Janeiro State University, Rio de Janeiro, Brazil.

Alvaro Camilo Dias Faria
Researcher. Rio de Janeiro State University, Rio de Janeiro, Brazil.

Ana Maria Gonçalves Tavares Di Mango
Professor. Ubaense Ozanam Coelho College, Ubá, Brazil.

Agnaldo José Lopes3, José Manoel Jansen
Full Professor. Rio de Janeiro State University, Rio de Janeiro, Brazil.

Pedro Lopes de Melo
Adjunct Professor. Rio de Janeiro State University, Rio de Janeiro, Brazil.


* Study carried out at the Rio de Janeiro State University, Rio de Janeiro, Brazil.
Correspondence to: Pedro Lopes de Melo. Instituto de Biologia, Universidade do Estado do Rio de Janeiro, Rua São Francisco Xavier, 524, Pavilhão Haroldo Lisboa da Cunha, Térreo, Sala 104, CEP 20550-013, Rio de Janeiro, RJ, Brasil.
Tel 55 21 2587-7773. Fax 55 21 2587-7760. E-mail: plopes@uerj.br
Financial support: This study received financial support from the Conselho Nacional de Desenvolvimento Científico e Tecnológico (CNPq, National Council for Scientific and Technological Development) and the Fundação de Amparo à Pesquisa do Estado do Rio de Janeiro (FAPERJ, Foundation for the Support of Research in the State of Rio de Janeiro, Brazil).
Submitted: 20 June 2008. Accepted, after review: 15 September 2008.

Indexes

Development by:

© All rights reserved 2025 - Jornal Brasileiro de Pneumologia