Continuous and bimonthly publication
ISSN (on-line): 1806-3756

Licença Creative Commons
16700
Views
Back to summary
Open Access Peer-Reviewed
Original Article

Valores de referência para o teste de caminhada com carga progressiva em indivíduos saudáveis: da distância percorrida às respostas fisiológicas

Reference values for the incremental shuttle walk test in healthy subjects: from the walk distance to physiological responses

Victor Zuniga Dourado, Ricardo Luís Fernandes Guerra, Suzana Erico Tanni, Letícia Cláudia de Oliveira Antunes, Irma Godoy

ABSTRACT

Objective: To determine reference values for incremental shuttle walk distance (ISWD) and peak physiological responses during the incremental shuttle walk test (ISWT), as well as to develop a series of predictive equations for those variables in healthy adults. Methods: We evaluated 103 healthy participants ≥ 40 years of age (54 women and 49 men). We fitted each participant with a gas analysis system for use during the ISWT. Oxygen consumption (VO2), carbon dioxide production, minute ventilation, heart rate (HR), ISWD, and maximal walking velocity (MWV) were obtained as primary outcomes. We also assessed hand grip strength (HGS) and lean body mass (LBM). Results: The regression analysis models, including physiological variables, ISWD, and MWV (adjusted for age, body mass, height, and sex), produced R2 values ranging from 0.40 to 0.65 (for HR and peak VO2, respectively). Using the models including LBM or HGS, we obtained no significant increase in the R2 values for predicting peak VO2, although the use of those models did result in slight increases in the R2 values for ISWD and MWV (of 8% and 12%, respectively). The variables ISWD, MWV, and ISWD Î body mass, respectively, explained 76.7%, 73.3%, and 81.2% of peak VO2 variability. Conclusions:áOur results provide reference values for ISWD and physiological responses to the ISWT, which can be properly estimated by determining simple demographic and anthropometric characteristics in healthy adults ≥ 40 years of age. The ISWT could be used in assessing physical fitness in the general adult population and in designing individualized walking programs.

Keywords: Reference values; Pulmonary gas exchange; Walking; Exercise test.

RESUMO

Objetivo: Determinar valores de referência para a distância caminhada (DC) e para respostas fisiológicas durante o teste de caminhada com carga progressiva (TCCP) e desenvolver equações preditivas para essas variáveis em adultos saudáveis. Métodos: Foram avaliados 103 participantes saudáveis com idade ≥ 40 anos (54 mulheres e 49 homens). Os participantes usaram um sistema de análise de gases durante o TCCP. Consumo de oxigênio (VO2), liberação de gás carbônico, ventilação minuto, FC, DC e velocidade máxima da caminhada (VMC) foram obtidos como desfechos primários. Avaliamos também a força de preensão manual (FPM) e a massa magra corporal (MMC). Resultados: Os modelos de regressão utilizando variáveis fisiológicas, DC e VMC ajustados por idade, massa corporal, estatura e sexo apresentaram valores de R2 entre 0,40 e 0,65 (para FC e pico de VO2, respectivamente). Os modelos incluindo MMC e FPM não aumentaram consideravelmente os valores de R2 na previsão do pico de VO2, embora esses modelos tenham aumentado discretamente os valores do R2 para DC e VMC (8% e 12%, respectivamente). As variáveis DC, VMC e DC × massa corporal, respectivamente, explicaram 76,7%, 73,3% e 81,2% da variabilidade do pico de VO2. Conclusões: Nossos resultados originaram valores de referência para a DC e respostas fisiológicas ao TCCP, que podem ser estimados adequadamente por características demográficas e antropométricas simples em adultos saudáveis com idade ≥ 40 anos. O TCCP poderia ser utilizado na avaliação da capacidade física na população geral de adultos e no desenvolvimento de programas de caminhada individualizados.

Palavras-chave: Valores de referência; Troca gasosa pulmonar; Caminhada; Teste de esforço.

Introdução

O teste de caminhada com carga progressiva (TCCP) foi desenvolvido para avaliar a capacidade funcional de exercício em pacientes com DPOC. (1) O sujeito do teste caminha indo e vindo em uma pista plana de 10 m de comprimento, com aumentos progressivos de cadência ditados por sinais sonoros, até não ser mais capaz de manter a cadência. O caráter incremental do TCCP produz respostas fisiológicas próximas às observadas no teste de exercício cardiopulmonar (TECP). (2) Alguns autores argumentam que, como um teste de caminhada externamente cadenciado, o TCCP é mais reprodutível e produz maiores respostas fisiológicas em comparação aos testes autocadenciados.(3) Uma das maiores vantagens do TCCP é a sua simplicidade. A distância caminhada (DC) é geralmente utilizada como um índice de capacidade cardiorrespiratória e tem sido sugerida como um indicador de prognóstico em pacientes com doença crônica.(4)

Em razão de sua simplicidade e baixo custo, a caminhada é o exercício mais popular para adultos de meia-idade e adultos mais velhos. Em indivíduos saudáveis, o limiar de variabilidade da frequência cardíaca é relatado como uma ferramenta válida para estimar o limiar ventilatório durante o TCCP.(5) O TCCP também tem se mostra útil para quantificar os benefícios de programas de caminhada desenvolvidos para indivíduos saudáveis.(6) Estudos avaliando o TCCP em indivíduos saudáveis mostram que o TCCP é válido e responsivo. Apesar da ampla utilização do TCCP em ambientes clínicos, poucos estudos avaliaram valores de referência e respostas fisiológicas ao teste. Recentemente, a DC foi investigada em indivíduos saudáveis, e foram desenvolvidas equações de regressão, permitindo uma melhor interpretação do desempenho de caminhada. (7-9) Dois desses estudos incluíram participantes com comorbidades,(7,9) enquanto outro incluiu apenas indivíduos saudáveis.(8) Contudo, até onde sabemos, não há estudos avaliando as respostas fisiológicas ao TCCP em indivíduos saudáveis, a não ser de forma superficial

Embora a simplicidade operacional dos testes de caminhada seja reconhecida como sua qualidade mais importante, o TCCP tem sido avaliado com o auxílio de sofisticados sistemas de telemetria para análise de gases com o intuito de avaliar respostas fisiológicas, especialmente em pacientes com doenças cardiorrespiratórias.(2,10) Nesses pacientes, o pico de consumo de oxigênio (VO2) atingido no TCCP apresenta uma forte correlação com o atingido no TECP realizado em esteira ou em cicloergômetro.(10,11) Portanto, o TCCP parece induzir uma resposta máxima ao exercício que é apropriada para avaliar a capacidade funcional.(12) A elucidação dessas respostas fisiológicas pode ser útil para a avaliação da capacidade de exercício e para o desenvolvimento de programas de caminhada para adultos de meia-idade e adultos mais velhos. Além disso, valores de referência, especialmente para VO2 e DC, podem fornecer uma maneira fácil de avaliar a capacidade funcional de exercício em pacientes com doenças crônicas

Neste estudo, nosso objetivo primário foi determinar valores de referência para DC e para respostas fisiológicas durante o TCCP, desenvolvendo equações preditivas simples para essas variáveis em adultos saudáveis de meia-idade e em adultos saudáveis mais velhos. Avaliamos também a influência da composição corporal e da força muscular sobre as principais variáveis fisiológicas obtidas durante o TCCP.

Métodos

Realizamos um estudo transversal para avaliar as respostas fisiológicas ao TCCP em 103 adultos saudáveis com 40 anos de idade ou mais. O Comitê de Ética em Pesquisa da Universidade Federal de São Paulo, localizado na cidade de São Paulo (SP), aprovou o estudo, e todos os participantes assinaram o termo de consentimento livre e esclarecido

Recrutamos uma amostra de conveniência entre funcionários da instituição e moradores da comunidade do entorno. Os seguintes indivíduos eram inelegíveis para inclusão no estudo: os com índice de massa corporal > 35 kg/m2; os que utilizavam apoio para caminhar; os que apresentavam resultados anormais na espirometria após broncodilatador(13); os que relataram doença cardiorrespiratória, metabólica, neuromuscular ou osteomuscular; e os fumantes atuais

Os participantes elegíveis foram submetidos a avaliações ao longo de duas manhãs, com um intervalo de 7 dias entre as duas. No 1º dia, os participantes preencheram um questionário de prontidão para a atividade física, passaram por uma entrevista face a face sobre os principais fatores de risco cardiovascular e preencheram um questionário de atividade física, de acordo com as recomendações do American College of Sports Medicine,(14) para que pudéssemos excluir os evolvidos em exercícios e esportes de alta intensidade. Também foram submetidos a espirometria, avaliação da força de preensão manual (FPM) e medições antropométricas e de composição corporal. Os que preencheram os critérios de elegibilidade voltaram no 2º dia e realizaram três TCCP, com intervalo de 20 min entre cada um.

Foram medidas a massa corporal (em kg) e a estatura (em m), e calculou-se o índice de massa corporal (em kg/m2). A composição corporal foi avaliada utilizando-se uma balança portátil com um sistema de impedância bioelétrica tetrapolar (TBF-310GS; Tanita, Arlington Heights, IL, EUA). (15) A gordura corporal total (GCT), a água corporal total e a massa magra corporal (MMC) foram avaliadas utilizando-se equações de regressão. (16) A MMC também foi expressa em percentual do previsto.(17) As espirometrias foram realizadas utilizando-se um espirômetro portátil (Spiropalm; Cosmed, Pavona di Albano, Itália) de acordo com os critérios estabelecidos pela Sociedade Brasileira de Pneumologia e Tisiologia.(13) Registramos o VEF1, a CVF e a relação VEF1/CVF. A FPM do lado dominante foi avaliada utilizando-se um dinamômetro hidráulico (HS5001; Carci, São Paulo, Brasil).(18) Foram realizadas três medições, com intervalo mínimo de 30 s entre cada uma. O maior valor foi selecionado para análise posterior.

Os TCCP foram realizados em um corredor de 10 m de comprimento, com aumento da cadência em 0,17 m/s a cada minuto.(1) A quantificação da dispneia e da fadiga de membros inferiores foi feita com a escala de Borg antes e depois de cada teste. Foram realizados três TCCP, com intervalo de 20 min entre cada um. A DC (em m) e a velocidade máxima da caminhada (VMC, em m/s) obtidas no terceiro teste foram selecionadas para análise posterior. Como o TCCP foi desenvolvido para avaliar a capacidade funcional de exercício de pacientes com doença pulmonar, o protocolo original consistia em 12 níveis (distância total, 1.020 m).(1) Contudo, como aplicamos o teste em indivíduos saudáveis, o estendemos para 15 níveis (1.500 m) para minimizar o efeito teto.

Durante o terceiro TCCP, os gases expirados foram coletados e avaliados por um sistema de telemetria portátil para análise de gases (K4b2; Cosmed; Pavona di Albano, Itália). As respostas fisiológicas foram analisadas respiração por respiração, e os dados foram filtrados a cada 15 s. As seguintes variáveis foram focalizadas no pico do TCCP: VO2, liberação de gás carbônico, FC e ventilação minuto.

Os dados foram avaliados descritivamente e são apresentados em média ± desvio-padrão. As diferenças entre os sexos com relação às principais variáveis fisiológicas e a taxa de percepção de esforço foram avaliadas utilizando-se o teste t de Student ou o teste de Mann-Whitney. Os coeficientes de Pearson ou Spearman foram utilizados para avaliar as correlações bivariadas. Para garantir que a DC obtida no terceiro teste, realizado utilizando-se o sistema de análise de gases, não era inferior à obtida no segundo teste, realizado sem o equipamento, estimamos o coeficiente de correlação intraclasse (CCI), com seu IC95%, entre essas medidas e comparamos seus valores médios utilizando o teste t de Student pareado.

O tamanho da amostra foi calculado considerando-se um coeficiente de correlação de 0,70 como o mínimo aceitável ou um coeficiente de determinação (R2) de 0,49. Com um erro alfa de 0,05 e um erro beta de 0,20, um mínimo de 12 observações para cada variável incluída no modelo seria suficiente. Portanto, 80 participantes eram necessários, e foi possível incluir até 8 variáveis em cada modelo. Equações de regressão linear múltipla foram desenvolvidas utilizando-se as principais respostas fisiológicas como variáveis dependentes. Os modelos foram primeiramente ajustados por idade, massa corporal, estatura e sexo. Esse procedimento foi aplicado porque essas variáveis são facilmente obtidas. Para VO2, VMC e DC (as variáveis mais importantes relacionadas à capacidade de exercício aeróbico), os modelos também foram ajustados por variáveis de composição corporal e FPM. Com relação à composição corporal, escolhemos MMC e GCT, que apresentaram as correlações mais fortes na análise bivariada anterior. Além disso, utilizamos regressões lineares em modelos alternativos de previsão para determinar se o pico de VO2 apresentou correlação com DC, com DC × massa corporal e com VMC. A multicolinearidade foi avaliada antes do início dos procedimentos de regressão. Adotou-se a probabilidade de erro alfa igual a 0,05 para todas as análises. As análises estatísticas foram realizadas com os programas Statistical Package for the Social Sciences, versão 15.0 (SPSS Inc., Chicago, IL, EUA), e SigmaStat, versão 3.1 (Systat Software Inc., San Jose, CA, EUA).

Resultados

A amostra foi composta por 103 participantes (54 mulheres e 49 homens), e a média de idade foi de 60 ± 10 anos (Tabela 1). Os participantes foram distribuídos nas seguintes faixas etárias: 40-49 anos (13 mulheres e 12 homens); 50-59 anos (12 mulheres e 11 homens); 60-69 anos (14 mulheres e 14 homens); e ≥ 70 anos (15 mulheres e 12 homens). Não houve diferenças significativas entre os quatro grupos etários estudados em termos das proporções de mulheres e homens. Entre o segundo e o terceiro TCCP, a confiabilidade da DC foi excelente (CCI = 0,973; IC95%: 0,960-0,982) e não houve diferença significativa entre os valores médios (510 ± 148 m vs. 519 ± 161 m).



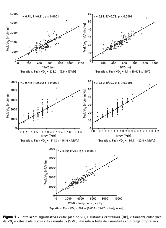
Os modelos de regressão utilizando variáveis fisiológicas, DC e VMC como variáveis dependentes e ajustados por idade, massa corporal, estatura e sexo apresentaram valores de R2 entre 0,40 e 0,65 (para FC e VO2 de pico, respectivamente; Tabela 2). O modelo incluindo MMC e o modelo incluindo FPM não aumentaram consideravelmente os valores de R2 na previsão do pico de VO2 (Tabela 2), embora esses modelos tenham aumentado discretamente os valores do R2 para DC e VMC (8% e 12%, respectivamente). As variáveis DC, VMC e DC × massa corporal foram selecionadas como os únicos determinantes do pico de VO2. Em três modelos diferentes, essas variáveis determinaram 76,7%, 73,3% e 81,2% da variabilidade do pico de VO2, respectivamente (Figura 1).





Discussão

Este estudo investigou as principais respostas fisiológicas ao TCCP em indivíduos saudáveis. Desenvolvemos equações que podem prever a DC e também as respostas cardiovasculares, ventilatórias, e metabólicas durante o TCCP. Idade e sexo tiveram influências significativas sobre essas variáveis. Contudo, após o ajuste por idade e sexo, verificamos que a VMC e a DC foram os principais determinantes do pico de VO2, independentemente da composição corporal e da força muscular periférica.

O principal achado deste estudo foi a considerável influência que a VMC e a DC tiveram sobre o pico de VO2 obtido no TCCP. As correlações entre pico de VO2 e DC, entre pico de VO2 e VMC e entre pico de VO2 e DC × massa corporal variaram de 0,75 a 0,90. Esses valores são semelhantes aos descritos na literatura para a correlação entre DC e pico de VO2 obtidos em condições de laboratório em pacientes com doença cardiopulmonar. Correlações consistentes entre pico de VO2 e DC ou entre pico de VO2 e DC × massa corporal obtidos em TECP foram descritas em pacientes com DPOC (variação, 0,73-0,88).(2,10,19,20)

Correlações dessa magnitude também foram descritas durante TECP em pacientes com fibrose pulmonar idiopática(21) e em pacientes com doença cardíaca.(22-24) Esses resultados corroboram a afirmação de que o TCCP é uma ferramenta adequada para avaliar a capacidade funcional desses pacientes. Nossos resultados indicam que o pico de VO2 obtido durante o TCCP pode ser adequadamente estimado utilizando-se DC, VMC ou massa corporal. Na verdade, Léger & Lambert(25) relataram resultados semelhantes no estudo em que eles desenvolveram o precursor do TCCP (o teste de corrida com carga progressiva). Naquele estudo, o pico de VO2 de adultos jovens foi adequadamente previsto pela velocidade de corrida, com uma correlação de r = 0,84. Em um estudo realizado por Cooper, que utilizou o teste de corrida de 12 min,(26) a distância percorrida em 12 min também foi o mais importante determinante da capacidade cardiorrespiratória em adultos jovens saudáveis, achado semelhante aos do presente estudo.

Mesmo no TECP, a taxa de trabalho, ou força, foi identificada como o principal determinante do pico de VO2.(27) Como o TCCP é realizado em superfície plana, a VMC representa, em última análise, a carga de trabalho do teste.

Sexo e idade influenciaram as principais variáveis obtidas no TCCP (pico de VO2, DC e VMC). Vários estudos relatam que o pico de VO2 sofre declínio com o avançar da idade e é menor em mulheres,(28,29) mesmo quando se utiliza correção alométrica.(30) No presente estudo, os valores de R2 para DC, ajustados por idade, massa corporal, estatura e sexo, variaram de 15% a 22%, que são valores maiores do que os relatados no estudo realizado por Jürgensen et al.,(7) no qual esses atributos explicaram 50% da variabilidade da DC. Essa diferença está possivelmente relacionada às características da amostra avaliada naquele estudo, que incluiu indivíduos com hipertensão leve e fumantes, enquanto apenas participantes saudáveis foram incluídos em nosso estudo. Verificamos que a composição corporal e a FPM, embora tenham apresentado correlações consistentes com o pico de VO2, não aumentaram suficientemente o poder preditivo das equações ajustadas apenas por atributos demográficos e antropométricos. Neder et al.(29) relataram resultados semelhantes em um estudo envolvendo o TECP em cicloergômetro. Naquele estudo, os resíduos das equações envolvendo força muscular e composição corporal se aproximaram, embora o R2 não tenha aumentado suficientemente.(29) Nossos resultados sugerem que equações incluindo idade, sexo, massa corporal e estatura são úteis porque essas variáveis são muito simples de se obter e fornecem valores de R2 semelhantes aos de modelos com variáveis que são mais difíceis de se obter, como composição corporal e função muscular (Tabela 2).

Várias variáveis cardiovasculares e ventilatórias foram determinadas no presente estudo por uma combinação de idade, sexo, estatura e massa corporal (R2 entre 0,54 e 0,65). Nossos resultados são semelhantes aos descritos por Neder et al.,(29) que relataram que várias variáveis cardiovasculares e ventilatórias podem ser determinadas pela combinação de idade, sexo, estatura e massa corporal, com um R2 entre 0,102 e 0,691.

A utilização de um sistema de análise de gases não piorou o desempenho durante o terceiro TCCP no presente estudo, já que o segundo e o terceiro TCCP não foram significativamente diferentes e apresentaram excelente confiabilidade. Nossos resultados diferem dos descritos por Singh et al.,(10) que relataram uma DC menor com a utilização de um sistema de telemetria para análise de gases. Essa discrepância pode ser explicada principalmente pelo peso total do equipamento utilizado por nós, menor do que os 4,1 kg do equipamento utilizado por Singh et al.(10) Além disso, aqueles autores(10) avaliaram pacientes com DPOC, enquanto nosso estudo envolveu apenas participantes saudáveis. Nossos resultados mostram que, apesar de algum desconforto relacionado à utilização da máscara facial, a utilização do equipamento não teve impacto sobre a DC.

Nosso estudo tem limitações que devem ser consideradas. A principal delas foi a não realização do TECP. Contudo, na comparação de nossos resultados com os esperados para o TECP em cicloergômetro derivados de um estudo randomizado,(29) o pico de VO2 medido durante o TCCP foi significativamente maior do que os valores esperados para o TECP em cicloergômetro (1.760 ± 608 mL/min vs. 1.568 ± 438 mL/min, p = 0,017). Com relação ao TCCP em esteira, quando comparamos nossos resultados com os encontrados em outro estudo realizado no Brasil,(28) embora qualitativamente, o pico de VO2 atingido durante o TCCP correspondeu a 80,6-108,2% do pico de VO2 esperado naquele estudo. Outra limitação foi a técnica de amostragem por conveniência utilizada por nós, que pode ter resultado em superestimação das respostas fisiológicas normais. Contudo, tivemos o cuidado de incluir apenas indivíduos saudáveis que não estavam envolvidos em esportes ou atividades físicas vigorosas. Acreditamos que isso tenha minimizado o viés da técnica de amostragem utilizada.

Nossos resultados originaram valores de referência para a DC e respostas fisiológicas ao TCCP, que podem ser estimados adequadamente por características demográficas e antropométricas simples em adultos saudáveis com idade ≥ 40 anos. A inclusão de dados sobre composição corporal e função muscular aumentou o poder dessas estimativas apenas ligeiramente. Portanto, o TCCP poderia ser utilizado na avaliação da capacidade física na população geral de adultos e no desenvolvimento de programas de caminhada individualizados. Como a cadência estabelecida nos níveis iniciais do TCCP é lenta demais para indivíduos saudáveis, estudos futuros devem investigar formas de se adaptar o protocolo original para utilização nessa população.

Agradecimentos

Os autores gostariam de agradecer ao corpo docente do programa Methods in Epidemiologic, Clinical and Operations Research (MECOR, Métodos em Pesquisa Epidemiológica, Clínica e de Operações) da American Thoracic Society, em especial ao Dr. William M. Vollmer, o apoio na análise estatística durante o primeiro MECOR Global Course, realizado em Nairóbi, Quênia, em 2011.

Referências

1. Singh SJ, Morgan MD, Scott S, Walters D, Hardman AE. Development of a shuttle walking test of disability in patients with chronic airways obstruction. Thorax. 1992;47(12):1019-24.

2. Onorati P, Antonucci R, Valli G, Berton E, De Marco F, Serra P, et al. Non-invasive evaluation of gas exchange during a shuttle walking test vs. a
6-min walking test to assess exercise tolerance in COPD patients. Eur J Appl Physiol. 2003;89(3-4):331-6.

3. Singh SJ. Chapter 7. Walking for the assessment of patients with chronic obstructive pulmonary disease. Eur Respir Mon. 2007;40(1):148-64.

4. Ringbaek T, Martinez G, Brøndum E, Thøgersen J, Morgan M, Lange P. Shuttle walking test as predictor of survival in chronic obstructive pulmonary disease patients enrolled in a rehabilitation program. J Cardiopulm Rehabil Prev. 2010;30(6):409-14.

5. Dourado VZ, Banov MC, Marino MC, de Souza VL, Antunes LC, McBurnie MA. A simple approach to assess VT during a field walk test. Int J Sports Med. 2010;31(10):698-703.

6. Tully MA, Cupples ME, Hart ND, McEneny J, McGlade KJ, Chan WS, et al. Randomised controlled trial of home-based walking programmes at and below current recommended levels of exercise in sedentary adults. J Epidemiol Community Health. 2007;61(9):778-83.

7. Jürgensen SP, Antunes LC, Tanni SE, Banov MC, Lucheta PA, Bucceroni AF, et al. The incremental shuttle walk test in older Brazilian adults. Respiration. 2011;81(3):223-8.

8. Dourado VZ, Vidotto MC, Guerra RL. Reference equations for the performance of healthy adults on field walking tests. J Bras Pneumol. 2011;37(5):607-14.

9. Probst VS, Hernandes NA, Teixeira DC, Felcar JM, Mesquita RB,
Gonçalves CG, et al. Reference values for the incremental shuttle walking test. Respir Med. 2012;106(2):243-8.

10. Singh SJ, Morgan MD, Hardman AE, Rowe C, Bardsley PA. Comparison of oxygen uptake during a conventional treadmill test and the shuttle walking test in chronic airflow limitation. Eur Respir J. 1994;7(11):2016-20.

11. Luxton N, Alison JA, Wu J, Mackey MG. Relationship between field walking tests and incremental cycle ergometry in COPD. Respirology. 2008;13(6):856-62.

12. Win T, Jackson A, Groves AM, Sharples LD, Charman SC, Laroche CM. Comparison of shuttle walk with measured peak oxygen consumption in patients with operable lung cancer. Thorax. 2006;61(1):57-60.

13. Sociedade Brasileira de Pneumologia e Tisiologia. Diretrizes para Testes de Função Pulmonar. J Pneumol. 2002;28(Suppl. 3):S1-S238.

14. American College of Sports Medicine Position Stand. The recommended quantity and quality of exercise for developing and maintaining cardiorespiratory and muscular fitness, and flexibility in healthy adults. Med Sci Sports Exerc. 1998;30(6):975-91.

15. Boneva-Asiova Z, Boyanov MA. Body composition analysis by leg-to-leg bioelectrical impedance and dual-energy X-ray absorptiometry in non-obese and obese individuals. Diabetes Obes Metab. 2008;10(11):1012-8.

16. Oppliger RA, Case HS, Horswill CA, Landry GL, Shelter AC. American College of Sports Medicine position stand. Weight loss in wrestlers. Med Sci Sports Exerc. 1996;28(6):ix-xii.

17. Neder JA, Nery LE, editors. Fisiologia clínica do exercício: teoria e prática. São Paulo: Artes Médicas; 2003.

18. Mathiowetz V, Kashman N, Volland G, Weber K, Dowe M, Rogers S. Grip and pinch strength: normative data for adults. Arch Phys Med Rehabil. 1985;66(2):69-74.

19. Turner SE, Eastwood PR, Cecins NM, Hillman DR, Jenkins SC. Physiologic responses to incremental and self-paced exercise in COPD: a comparison of three tests. Chest. 2004;126(3):766-73.

20. Arnardóttir RH, Emtner M, Hedenström H, Larsson K, Boman G. Peak exercise capacity estimated from incremental shuttle walking test in patients with COPD: a methodological study. Respir Res. 2006;7:127.

21. Moloney ED, Clayton N, Mukherjee DK, Gallagher CG, Egan JJ. The shuttle walk exercise test in idiopathic pulmonary fibrosis. Respir Med. 2003;97(6):682-7.

22. Morales FJ, Montemayor T, Martinez A. Shuttle versus six-minute walk test in the prediction of outcome in chronic heart failure. Int J Cardiol. 2000;76(2-3):101-5.

23. Green DJ, Watts K, Rankin S, Wong P, O'Driscoll JG. A comparison of the shuttle and 6 minute walking tests with measured peak oxygen consumption in patients with heart failure. J Sci Med Sport. 2001;4(3):292-300.

24. Lewis ME, Newall C, Townend JN, Hill SL, Bonser RS. Incremental shuttle walk test in the assessment of patients for heart transplantation. Heart. 2001;86(2):183-7.

25. Léger LA, Lambert J. A maximal multistage 20-m shuttle run test to predict VO2 max. Eur J Appl Physiol Occup Physiol. 1982;49(1):1-12.

26. Cooper KH. A means of assessing maximal oxygen intake. Correlation between field and treadmill testing. JAMA. 1968;203(3):201-4.

27. American College of Sports Medicine, Thompson WR, Gordon NF, Pescatello LS, editors. ACSM's guidelines of exercise testing and prescription. Philadelphia: Lippincott Williams & Wilkins; 2009.

28. Herdy AH, Uhlendorf D. Reference values for cardiopulmonary exercise testing for sedentary and active men and women. Arq Bras Cardiol. 2011;96(1):54-9.

29. Neder JA, Nery LE, Castelo A, Andreoni S, Lerario MC, Sachs A, et al. Prediction of metabolic and cardiopulmonary responses to maximum cycle ergometry: a randomised study. Eur Respir J. 1999;14(6):1304-13.

30. Neder JA, Nery LE, Silva AC, Andreoni S, Whipp BJ. Maximal aerobic power and leg muscle mass and strength related to age in non-athletic males and females. Eur J Appl Physiol Occup Physiol. 1999;79(6):522-30



* Trabalho realizado na Universidade Federal de São Paulo - UNIFESP - Campus Baixada Santista, Santos (SP) Brasil.
Endereço para correspondência: Victor Z. Dourado. Avenida Ana Costa, 95, CEP 11060-001, Santos, SP, Brasil.
Tel./Fax: 55 13 3261-3324. E-mail: vzdourado@yahoo.com.br ou victor.dourado@unifesp.br
Apoio financeiro: Este estudo recebeu apoio financeiro da Fundação de Amparo à Pesquisa do Estado de São Paulo (FAPESP).
Recebido para publicação em 13/9/2012. Aprovado, após revisão, em 15/1/2013.



Sobre os autores

Victor Zuniga Dourado
Professor Adjunto. Universidade Federal de São Paulo - UNIFESP - Campus Baixada Santista, Santos (SP) Brasil.

Ricardo Luís Fernandes Guerra
Professor Adjunto. Universidade Federal de São Paulo - UNIFESP - Campus Baixada Santista, Santos (SP) Brasil.

Suzana Erico Tanni
Médica Pneumologista. Faculdade de Medicina de Botucatu, Universidade Estadual Paulista - UNESP - Botucatu (SP) Brasil.

Letícia Cláudia de Oliveira Antunes
Professora. Faculdade Marechal Rondon, São Manuel (SP) Brasil. Fisioterapeuta. Hospital das Clínicas, Faculdade de Medicina de Botucatu, Universidade Estadual Paulista - UNESP - Botucatu (SP) Brasil.

Irma Godoy
Professora Titular. Faculdade de Medicina de Botucatu, Universidade Estadual Paulista - UNESP - Botucatu (SP) Brasil.

Indexes

Development by:

© All rights reserved 2025 - Jornal Brasileiro de Pneumologia