Continuous and bimonthly publication
ISSN (on-line): 1806-3756

Licença Creative Commons
13015
Views
Back to summary
Open Access Peer-Reviewed
Original Article

Efeito da obstrução de vias aéreas nas variações das propriedades resistivas e elásticas do sistema respiratório de asmáticos, mediadas pelo uso de salbutamol

Effects of airway obstruction on albuterol-mediated variations in the resistive and elastic properties of the respiratory system of patients with asthma

Juliana Veiga, Agnaldo José Lopes, José Manoel Jansen, Pedro Lopes de Melo

ABSTRACT

Objective: To investigate the effects of airway obstruction on albuterol-mediated variations in the resistive and elastic properties of the respiratory system of adult patients with asthma. Methods: This study comprised 24 healthy controls and 69 patients with asthma, all of whom were nonsmokers. The patients were divided into three groups according to the severity of airway obstruction (mild, moderate or severe). Each of the three groups was divided into two subgroups according to the bronchodilator response (BR): positive (BR+) or negative (BR−). These measurements were conducted before and after albuterol use (300 µg). Airway obstruction was determined by means of spirometry, and the resistive and elastic properties were determined by means of the forced oscillation technique. Results: The resistance at the intercept (R0) presented greater reductions in the groups with higher obstruction. This reduction was more evident in the BR+ subgroups than in the BR− subgroups (p < 0.02 and p < 0.03, respectively). There was a significant difference between the control group and the BR+ subgroup with severe obstruction (p < 0.002). The reductions in dynamic elastance (Edyn) were significantly greater in proportion to the degree of obstruction, in the BR− subgroups (p < 0.03), and in the BR+ subgroups (p < 0.003). The reductions in Edyn were significantly greater in the BR− subgroup with moderate obstruction (p < 0.008) and in the BR+ subgroup with severe obstruction (p < 0.0005) than in the control group. Conclusions: In patients with asthma, increased airway obstruction results in greater reductions in R0 and Edyn after albuterol use. These reductions are greater among BR+ patients than among BR− patients.

Keywords: Asthma; Bronchodilator agents; Respiratory mechanics; Spirometry; Albuterol.

RESUMO

Objetivo: Investigar os efeitos da obstrução de vias aéreas nas variações das propriedades resistivas e elásticas do sistema respiratório de asmáticos adultos mediadas pelo uso de salbutamol. Métodos: Foram analisados 24 indivíduos controles e 69 asmáticos, todos não tabagistas, divididos em três grupos segundo o nível de obstrução de vias aéreas (leve, moderada e acentuada). Cada grupo foi dividido em dois subgrupos de acordo com a resposta broncodilatadora: resposta broncodilatadora positiva (RB+) ou negativa (RB−). A espirometria foi utilizada para a avaliação da obstrução, e a técnica de oscilações forçadas, para a análise das propriedades resistivas e elásticas, sendo realizadas antes e após a utilização de 300 µg de salbutamol. Resultados: A resistência no intercepto (R0) apresentou maior redução nos grupos com maior obstrução. Essa redução foi mais evidente nos subgrupos RB+ do que nos RB− (p < 0,02 e p < 0,03, respectivamente). Houve diferença significativa entre o grupo controle e a o subgrupo com obstrução acentuada RB+ (p < 0,002). As reduções na elastância dinâmica (Edyn) se acentuaram significativamente com a obstrução, tanto para os subgrupos RB− (p < 0,03), quanto para os RB+ (p < 0,003). As reduções da Edyn foram significativamente maiores nos subgrupos com obstrução moderada RB− (p < 0,008) e com obstrução acentuada RB+ (p < 0,0005) do que no grupo controle. Conclusões: Em asmáticos, o aumento da obstrução de vias aéreas resulta na elevação das variações em R0 e Edyn com o uso de salbutamol. Pacientes com RB+ apresentam variações mais elevadas que indivíduos com RB−.

Palavras-chave: Asma; Broncodilatadores; Mecânica respiratória; Espirometria; Albuterol.

Introdução

A resposta broncodilatadora positiva é uma característica marcante na asma; entretanto, pode não estar presente em todos os testes realizados.(1) Os parâmetros utilizados para a análise da resposta a esse exame devem permitir identificar a redução da resistência das vias aéreas decorrente da diminuição do tônus muscular dos brônquios. Usualmente essa redução é avaliada indiretamente por meio da análise dos fluxos e dos volumes obtidos por meio da espirometria.

Requerendo apenas cooperação passiva, sendo realizada durante a respiração espontânea e fornecendo novos parâmetros para análise, a técnica de oscilações forçadas (TOF) permite a estimativa de parâmetros que traduzem as propriedades resistivas e reativas do sistema respiratório.(2-4) Embora apresente elevado potencial no estudo da fisiopatologia da resposta broncodilatadora em asmáticos, relativamente poucos estudos foram efetuados nesse sentido.(5-9) Esses estudos comprovaram que os ­parâmetros obtidos pela TOF permitem identificar adequadamente a redução do tônus muscular e a consequente diminuição da resistência das vias aéreas decorrentes da prova broncodilatadora em adultos asmáticos. Recentemente, nosso grupo de pesquisa reportou resultados referentes à análise da resposta broncodilatadora, através da TOF, em pacientes asmáticos com resposta positiva.(10) Os resultados apresentados nesses estudos levantaram a seguinte questão: as alterações nas propriedades resistivas e elásticas do sistema respiratório mediadas pelo uso de broncodilatadores são dependentes do nível basal de obstrução brônquica? Essa é uma questão de elevado interesse que, no melhor do atual conhecimento dos autores, ainda não foi abordada.

Assim, dando continuidade à pesquisa reportada anteriormente por nosso grupo nesta publicação,(10) este trabalho visa contribuir para aumentar nosso conhecimento sobre a resposta broncodilatadora em asmáticos adultos. Para esse fim, foi investigada a influência do nível basal de obstrução das vias aéreas nas alterações resistivas e elásticas decorrentes da prova broncodilatadora em asmáticos adultos.

Métodos

Este estudo foi aprovado pelo Comitê de Ética do Hospital Universitário Pedro Ernesto e está de acordo com os critérios da Declaração de Helsinki.(11) O protocolo de exames foi realizado após assinatura do termo de consentimento livre e esclarecido fornecido aos voluntários. Os exames foram realizados no Laboratório de Provas de Função Respiratória, e o processamento dos dados e a análise estatística foram realizados no Laboratório de Instrumentação Biomédica, ambos da Universidade do Estado do Rio de Janeiro.

Foram analisados 69 asmáticos,(12,13) sem história prévia de tabagismo, divididos em três grupos, de acordo com a classificação de distúrbios obstrutivos proposta por Jansen(14): obstrução leve (n = 28), moderada (n = 22) e acentuada (n = 19). Cada grupo foi dividido em dois subgrupos, que representam resposta broncodilatadora positiva (RB+) e resposta broncodilatadora negativa ao salbutamol (RB−). Dos 28 pacientes do grupo com obstrução leve, 7 e 21 foram subdivididos em RB+ e RB−, respectivamente. Dos 22 pacientes do grupo com obstrução moderada, 13 e 9 foram subdivididos em RB+ e RB−, respectivamente, e dos 19 pacientes do grupo com obstrução acentuada, 9 e 10 foram subdivididos nos mesmos grupos. No grupo controle, foram incluídos 24 indivíduos sem história de tabagismo, doença cardiovascular e/ou pulmonar e com valores espirométricos dentro dos limites de normalidade.

Os equipamentos de circuito fechado modelo Vitatrace VT 130 SL (Pro Médico Ind Ltda., Rio de Janeiro, Brasil) e Collins/GS (Warren E. Collins, Inc., Braintree, MA, EUA) foram utilizados para a realização da espirometria.(15,16) O instrumento utilizado para avaliação da impedância respiratória foi descrito anteriormente, assim como o protocolo de realização dos exames utilizando-se a TOF.(10,17) Para a prova broncodilatadora, foi utilizada uma dose de 300 µg de salbutamol inalatório,(18) através de três jatos de 100 µg cada, com intervalos de aproximadamente 1 min entre eles. A resposta foi mensurada 20 min após a aplicação do último jato, sendo a resposta broncodilatadora considerada positiva na ocorrência de aumento maior ou igual a 12% ou 200 mL no VEF1 e na CVF.(16)

Para permitir uma descrição quantitativa dos resultados referentes às curvas de resistência do sistema respiratório (Rrs) e de reatância do sistema respiratório (Xrs), foi calculada a distância média (DM) entre as curvas pré-broncodilatador (Rrspré; Xrspré) e pós-broncodilatador (Rrspós; Xrspós) da Rrs (DMRrs) e Xrs (DMXrs) na faixa de ­frequência entre 4 e 16 Hz. Fisiologicamente, essas distâncias descrevem as variações nas propriedades resistivas e reativas (complacência e inertância) do sistema respiratório associadas ao uso do broncodilatador. Foram também analisados parâmetros derivados da TOF. Através da regressão linear da curva Rrs na faixa de frequência entre 4 e 16 Hz, foi obtida a resistência no intercepto (R0).(2,10,17) Com base na curva Xrs, foi calculada a elastância dinâmica do sistema respiratório na frequência de 4 Hz (Edyn = −2ω× f × Xrs, 4 Hz).(17,19) A análise de R0 e Edyn foi realizada utilizando os valores referentes à variação entre as medidas pré-broncodilatador e pós-broncodilatador nos diferentes grupos e subgrupos (controle, leve, moderado e acentuado; RB+ e RB−, respectivamente).
Os resultados foram apresentados como média ± desvio-padrão. A análise estatística foi efetuada utilizado o software STATISTICA 5.0. for Windows (StatSoft Inc, Tulsa, OK, EUA) empregando one-way ANOVA e considerando os resultados com p < 0,05 estatisticamente significativos. Numa segunda análise, foi aplicado o teste de múltiplas correções de Bonferroni, sendo consideradas significativas diferenças com p < 0,008.

Resultados

As características biométricas (idade, peso, altura e sexo, respectivamente) foram similares em todos os grupos: controle (41,9 ± 16,3 anos; 63,4 ± 11,9 kg; 160,1 ± 10,3 cm; 6 homens), obstrução leve (41,2 ± 17,2 anos; 67,9 ± 14,0 kg; 161,2 ± 11,0 cm; 7 homens) moderada (47,6 ± 17,5 anos; 65,2 ± 10,6 kg; 159,0 ± 12,2 cm; 10 homens) e acentuada (51,5 ± 18,49 anos; 69,5 ± 14,4 kg; 161,2 ± 8,2 cm, 9 homens), apresentando diferenças não significativas (p > 0,05). A Tabela 1 apresenta os resultados dos exames espirométricos nos grupos estudados.





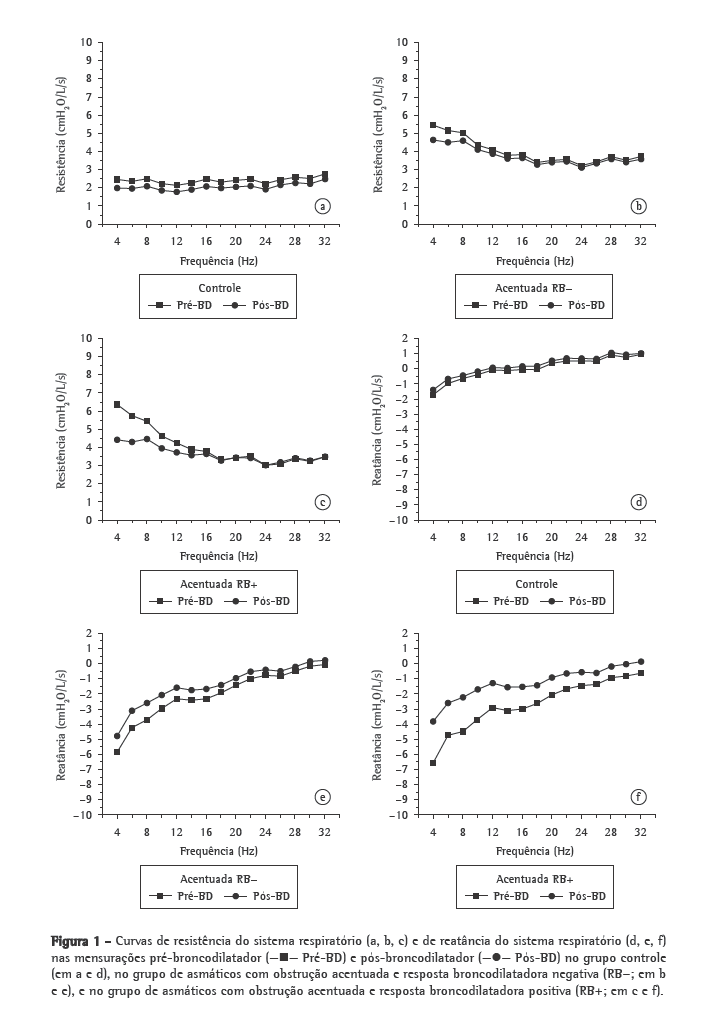
A Figura 1 ilustra o efeito do uso do broncodilatador nas curvas Rrs e Xrs no grupo controle e no grupo obstrução acentuada, sendo o último dividido em RB+ e RB−. A Tabela 2 descreve a DM entre as curvas descritas na Figura 1.





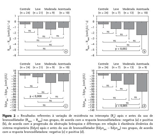
Os resultados referentes à variação entre as medidas pré-broncodilatador e pós-­broncodilatador nos asmáticos com obstrução leve, moderada e acentuada estão ilustrados na Figura 2. A Tabela 3 descreve resumidamente esses resultados.






Foi observado um aumento significativo na variação de R0 devido ao uso do broncodilatador com a progressão da obstrução quando da RB− aos critérios espirométricos (ANOVA; p < 0,03; Figura 2a, Tabela 3), embora após o uso da correção de Bonferroni, não tenham sido observadas diferenças entre as classes. Nos asmáticos com RB+, ocorreram diferenças maiores entre as medidas pré-broncodilatador e pós-­broncodilatador, principalmente no subgrupo com obstrução acentuada (ANOVA; p < 0,02; Figura 2b, Tabela 3).

A variação da Edyn com o uso do broncodilatador aumentou significativamente com a obstrução, tanto para os asmáticos com RB− quanto para aqueles com RB+ (ANOVA; p < 0,03 e p < 0,003, respectivamente). As comparações de Bonferroni diferenciaram o grupo controle da classe moderada nos asmáticos RB− (p < 0,008). Nos asmáticos do subgrupo RB+, houve diferença entre o grupo controle e o de obstrução acentuada (p < 0,0005).

Discussão

Foram estudados grupos com características biométricas similares, cabendo ressaltar a importância de manter a homogeneidade em relação à altura, visto que esse é o parâmetro que exerce maior influência no valor da impedância.(2,3,20)

No grupo controle, o uso do broncodilatador resultou em uma pequena e homogênea redução dos valores de Rrs entre 4 e 32 Hz (0,40 ± 0,04 cmH2OL−1s; Figura 1A e Tabela 2), corroborando os achados em outro estudo.(21) Por outro lado, nos asmáticos com obstrução acentuada e RB+, o uso do broncodilatador resultou em uma redução mais acentuada na resistência total (DMRrs = 0,87 ± 0,65 cmH2OL−1s). O efeito do broncodilatador aumentou com o nível de obstrução em indivíduos com RB− (ANOVA, p < 0,001; Tabela 2). Esses resultados estão de acordo com a recente proposição de alguns autores(22) de que Rrs é um parâmetro sensível para a avaliação da resposta broncodilatadora em pacientes com asma. Os resultados do estudo citado são também coerentes com a proposição de que a presença de um maior valor basal de resistência está relacionada com um decréscimo mais evidente desse parâmetro após o uso de broncodilatador.(8)

Asmáticos apresentaram valores elevados de Rrs, principalmente entre 4 e 16 Hz, na mensuração pré-broncodilatador (Figura 1b e 1c). Após o uso do broncodilatador, houve redução tanto em Rrs quanto na inclinação da curva Rrs com a frequência na faixa de 4 a 16 Hz. Valores elevados de frequência foram relacionados anteriormente ao grau e ao perfil de constrição das vias aéreas periféricas em pacientes portadores de doença obstrutiva (DPOC ou asma).(5,6,23) Ao analisar o padrão de constrição das vias aéreas em asmáticos através de broncoprovocação com metacolina, alguns autores(24) demonstraram que a broncoprovocação produz um padrão de constrição levemente heterogêneo em indivíduos sadios e em asmáticos com obstrução leve a moderada, o que pode resultar num fechamento total ou parcial de algumas vias aéreas periféricas. Entretanto, os asmáticos com obstrução acentuada apresentam um forte padrão heterogêneo de constrição com fechamento de vias aéreas mesmo antes do uso da metacolina. Tal comportamento pode ser decorrente da inflamação persistente e do remodelamento brônquico. O aumento da resistência tecidual, decorrente do remodelamento brônquico, pode ser determinante para explicar a RB− e discreta DMRrs (0,43 ± 0,29 cmH2OL−1s) observada nos asmáticos com obstrução acentuada e RB− (Figura 1b, Tabela 2).

Ao analisar as curvas de Xrs (Figura 1), o grupo controle demonstrou valores levemente negativos em baixas frequências e uma dependência positiva de Xrs com a frequência na mensuração pré-broncodilatador, com discreta alteração desse comportamento após o uso do medicamento.(21) Indivíduos asmáticos apresentam valores mais negativos para Xrs, principalmente na faixa de frequência entre 4 e 16 Hz, assim como uma maior dependência positiva com a frequência quando comparados com indivíduos sem história de asma. Após o uso do broncodilatador, tanto o aumento dos valores de Xrs como a diminuição da sua dependência com a frequência ocorrem principalmente em baixas frequências, e esses resultados são coerentes com a literatura.(5)

O efeito do uso do broncodilatador sobre a Xrs aumentou com a obstrução de vias aéreas. Esta observação decorre do aumento progressivo nos valores de DMXrs com a obstrução, obtidos tanto para os pacientes RB− quanto para os pacientes RB+ (ANOVA; p < 0,001; Tabela 2). Segundo alguns autores,(8) o broncodilatador promove um aumento da complacência da parede das vias aéreas, além de relaxar a musculatura lisa. Esse efeito pode ser explicado, ao menos em parte, pela redução do enrijecimento das paredes dos brônquios associado à redução do broncoespasmo. Conforme discutido anteriormente, resistências mais altas apresentam respostas mais acentuadas ao broncodilatador. De acordo com os resultados da presente pesquisa, pode-se sugerir que reatâncias mais negativas, relacionadas ao maior comprometimento das propriedades elásticas do sistema respiratório, respondem de forma mais relevante ao broncodilatador.

Entre o grupo controle e os asmáticos RB− (Figura 2a) ocorreu um aumento significativo das diferenças entre as medidas pré-broncodilatador e pós-broncodilatador para R0 com a progressão do nível de obstrução das vias aéreas (ANOVA; p < 0,03). Entretanto, as múltiplas comparações envolvendo todas as classes não apresentaram significância estatística. A afirmativa de que a resistência em baixas frequências pode ser um parâmetro pouco sensível para detectar o efeito broncodilatador em pacientes com doença obstrutiva (asma e DPOC) em ­estágios mais avançados foi proposta anteriormente; entretanto, não houve separação de grupos em relação à análise da resposta broncodilatadora.(5)

Em relação aos asmáticos RB+ (Figura 2b), as diferenças entre as medidas pré-broncodilatador e pós-broncodilatador foram maiores quando comparadas aos grupos RB− com nível de obstrução equivalente (Figura 2a), principalmente na classe acentuada. Esse resultado corrobora os achados de outros autores,(8) que demonstraram melhores respostas para R0 em pacientes com variação maior ou igual a 10% do VEF1 após o uso de broncodilatador. No grupo de asmáticos RB+, as diferenças entre as médias foram crescentes desde o grupo controle até os subgrupos com obstrução acentuada, demonstrando uma tendência de crescimento significativa entre as classes (ANOVA; p < 0,02). Na comparação entre grupos adjacentes, houve diferença significativa entre o grupo controle e os subgrupos com obstrução acentuada (correção de Bonferroni; p < 0,002).

Os resultados referentes a Edyn estão ilustrados nas Figuras 2c e 2d. Houve uma tendência estatisticamente significativa de diminuição da Edyn com a progressão da obstrução em asmáticos RB− e RB+ (ANOVA; p < 0,03 e p < 0,003, respectivamente). Na comparação entre os grupos, houve diferença significativa entre o grupo controle e os asmáticos com obstrução moderada e RB− (Bonferroni; p < 0,008). Nos asmáticos RB+, foi verificada uma diferença estatística entre o grupo controle e os subgrupos com obstrução acentuada (Bonferroni; p < 0,0005). Em concordância com achados anteriores,(23) nos asmáticos com obstrução moderada a acentuada, a elastância apresentou uma importante dependência positiva com a frequência na mensuração basal, com diminuição significativa após o uso do salbutamol. Esse comportamento pode ser resultante de três mecanismos distintos(24-27): (1) da viscoelasticidade tecidual; (2) das não-homogeneidades nas constantes de tempo pulmonares; e (3) do shunt das vias aéreas, sendo o shunt das vias aéreas decorrente de constrição difundida pela periferia pulmonar.(27) Em relação à variação significativa na Edyn após o salbutamol, alguns mecanismos podem explicar tal comportamento: (1) abertura de unidades pulmonares fechadas anteriormente; (2) aumento do volume de ar nas vias aéreas periféricas; e (3) diminuição da não-homogeneidade pulmonar.(24)

Os resultados apresentados indicam que, em asmáticos, o aumento da obstrução de vias aéreas resulta na elevação das variações em R0 e Edyn com o uso de salbutamol. Pacientes com RB+ apresentam variações mais elevadas que indivíduos RB−. A melhora da mecânica respiratória é traduzida de forma satisfatória por R0 e Edyn.

Agradecimentos

Aos engenheiros Jayme Mesquita Júnior e Josiel G. Santos, o auxílio na montagem da instrumentação. Aos doutores Vinícius Antão e Germânia Pinheiro, o encaminhamento dos pacientes e às técnicas em espirometria do Hospital Universitário Pedro Ernesto, Edinete do Rosário Limeira e Luzia da Silva Batista, a realização da espirometria.


Referências

1. Global Initiative for Asthma - GINA. Geneva: Global Initiative for Asthma [Cited 2009 Mar 3]. Available from: http://www.ginasthma.org.

2. Melo PL, Werneck MM, Gianella-Neto A. Avaliação da mecânica ventilatória por oscilações forçadas: fundamentos e aplicações clínicas. J Pneumol 2000;26(4):194-206.

3. Oostveen E, MacLeod D, Lorino H, Farré R, Hantos Z, Desager K, et al. The forced oscillation technique in clinical practice: methodology, recommendations and future developments. Eur Respir J. 2003;22(6):1026-41.

4. LaPrad AS, Lutchen KR. Respiratory impedance measurements for assessment of lung mechanics: focus on asthma. Respir Physiol Neurobiol. 2008;163(1-3):64-73.

5. Van Noord JA, Smeets J, Clément J, Van de Woestijne KP, Demedts M. Assessment of reversibility of airflow obstruction. Am J Respir Crit Care Med. 1994;150(2):551-4.

6. Zerah F, Lorino AM, Lorino H, Harf A, Macquin-Mavier I. Forced oscillation technique vs spirometry to assess bronchodilatation in patients with asthma and COPD. Chest. 1995;108(1):41-7.

7. Mazurek HK, Marchal F, Derelle J, Hatahet R, Moneret-Vautrin D, Monin P. Specificity and sensitivity of respiratory impedance in assessing reversibility of airway obstruction in children. Chest. 1995;107(4):996-1002.

8. Delacourt C, Lorino H, Herve-Guillot M, Reinert P, Harf A, Housset B. Use of the forced oscillation technique to assess airway obstruction and reversibility in children. Am J Respir Crit Care Med. 2000;161(3 Pt 1):730-6.

9. Schweitzer C, Moreau-Colson C, Marchal F. Respiratory impedance response to a deep inhalation in asthmatic children with spontaneous airway obstruction. Eur Respir J. 2002;19(6):1020-5.


11. World Medical Association. Declaration of Helsinki. 59th WMA General Assembly; 2008 Oct 13; Seoul: WMA; 2008.

12. Sociedade Brasileira de Pneumologia e Tisiologia. III Consenso Brasileiro no Manejo da Asma. J Pneumol. 2002;28(Suppl 1):S6-S51.

13. Sociedade Brasileira de Pneumologia e Tisiologia. IV Diretrizes Brasileiras para o Manejo da Asma. J Bras Pneumol. 2006;32(Suppl 7):S447-S74.

14. Jansen JM. Classificação da Síndrome Obstrutiva Brônquica - Uma proposta estatística [thesis]. Rio de Janeiro: Universidade Federal Fluminense; 1994.

15. Sociedade Brasileira de Pneumologia e Tisiologia. Diretrizes para Testes de Função Pulmonar. J Pneumol. 2002;28(Suppl 3):S1-S238.

16. Lung function testing: selection of reference values and interpretative strategies. American Thoracic Society. Am Rev Respir Dis. 1991;144(5):1202-18.

17. Cavalcanti JV, Lopes AJ, Jansen JM, Melo PL. Detection of changes in respiratory mechanics due to increasing degrees of airway obstruction in asthma by the forced oscillation technique. Respir Med. 2006;100(12):2207-19.

18. Jansen JM, Plotkowski LM, Kux R, Milagres JA. Determinação da melhor dose de um broncodilatador - Estudo dose-resposta com salbutamol spray em pacientes asmáticos. J Pneumol. 1986;12(4):211-16.

19. Nagels J, Làndsér FJ, van der Linden L, Clément J, Van de Woestijne KP. Mechanical properties of lungs and chest wall during spontaneous breathing. J Appl Physiol. 1980;49(3):408-16.

20. Làndsér FJ, Clément J, Van de Woestijne KP. Normal values of total respiratory resistance and reactance determined by forced oscillations: influence of smoking. Chest. 1982;81(5):586-91.

21. Manço JC, Hyatt RE, Rodarte JR. Respiratory impedance in normal humans: effects of bronchodilatation and bronchoconstriction. Mayo Clin Proc. 1987;62(6):487-97.

22. Yaegashi M, Yalamanchili VA, Kaza V, Weedon J, Heurich AE, Akerman MJ. The utility of the forced oscillation technique in assessing bronchodilator responsiveness in patients with asthma. Respir Med. 2007;101(5):995-1000.

23. Kaczka DW, Ingenito EP, Israel E, Lutchen KR. Airway and lung tissue mechanics in asthma. Effects of albuterol. Am J Respir Crit Care Med. 1999;159(1):169-78.

24. Lutchen KR, Jensen A, Atileh H, Kaczka DW, Israel E, Suki B, et al. Airway constriction pattern is a central component of asthma severity: the role of deep inspirations. Am J Respir Crit Care Med. 2001;164(2):207-15.

25. Mauad T. Airway Remodeling in Asthma. Proceedings of CHEST 2003: 69th Annual Meeting of the American College of Chest Physicians; 2003 Oct 25-30; Orlando, USA. Northbrook: American College of Chest Physicians; 2003. p.44-7.

26. Brown NJ, Salome CM, Berend N, Thorpe CW, King GG. Airway distensibility in adults with asthma and healthy adults, measured by forced oscillation technique. Am J Respir Crit Care Med. 2007;176(2):129-37.

27. Lutchen KR, Gillis H. Relationship between heterogeneous changes in airway morphometry and lung resistance and elastance. J Appl Physiol. 1997;83(4):1192-201.


Sobre os autores

Juliana Veiga
Professora Assistente. Universidade Castelo Branco, Rio de Janeiro (RJ) Brasil.

Agnaldo José Lopes
Professor Adjunto. Universidade do Estado do Rio de Janeiro - UERJ - Rio de Janeiro (RJ) Brasil.

José Manoel Jansen
Professor Titular. Universidade do Estado do Rio de Janeiro - UERJ - Rio de Janeiro (RJ) Brasil.

Pedro Lopes de Melo
Professor Adjunto. Universidade do Estado do Rio de Janeiro - UERJ - Rio de Janeiro (RJ) Brasil.



Trabalho realizado na Universidade do Estado do Rio de Janeiro - UERJ - Rio de Janeiro (RJ) Brasil.
Endereço para correspondência. Pedro Lopes de Melo. Universidade do Estado do Rio de Janeiro, Rua São Francisco Xavier, 524, Pavilhão Haroldo Lisboa Filho, Térreo, Salas 104/105, CEP 20550-013, Rio de Janeiro, RJ, Brasil.
Tel 55 21 2587-7773. Fax 55 21 2587-7760. E-mail: plopes@uerj.br
Apoio financeiro: Este estudo recebeu apoio financeiro da Fundação de Amparo a Pesquisa do Estado do Rio de Janeiro (FAPERJ) e do Conselho Nacional de Pesquisa (CNPq).
Recebido para publicação em 8/10/2008. Aprovado, após revisão, em 2/3/2009.

Indexes

Development by:

© All rights reserved 2025 - Jornal Brasileiro de Pneumologia