ABSTRACT
Objective: To present a locally developed system of computer vision for use with HRCT images, designated SIStema para a Detecção e a quantificação de Enfisema Pulmonar (SISDEP, System to Detect and Quantify Pulmonary Emphysema), and to compare this system with a freeware system tool. Methods: Thirty-three HRCT images scanned at the apex, hilum and base of the lungs of 11 patients with COPD were analyzed. The SISDEP was compared with the Osiris Medical Imaging Software Program regarding lung parenchyma segmentation, precision of the measurement of the cross-sectional area of the lungs in mm2, mean lung density (MLD), relative area (RA) of the lung occupied by voxels with attenuation values < −950 Hounsfield units (RA −950), 15th percentile point (Perc15) and visualization of hyperinflated areas using a color mask. Results: Although both computational systems were efficient in segmenting the lungs, the SISDEP performed this task automatically and more rapidly. There were significant correlations between the two systems in terms of the results obtained for lung cross-sectional area, MLD, RA −950 and Perc15 (r2 = 0.99, 0.99, 0.99 and 1.00, respectively). The color mask tool of the SISDEP allowed excellent visualization of hyperinflated areas, discriminating them from normal areas. Conclusions: The SISDEP was efficient in segmenting the lungs and quantifying lung hyperinflation, presenting an excellent correlation with the Osiris system. The SISDEP constitutes a promising computational tool for diagnosing and assessing the progression of emphysema in HRCT images of COPD patients.
Keywords:
Pulmonary disease, chronic obstructive; Emphysema; Tomography, X-ray computed; Decision making, computer-assisted.
RESUMO
Objetivo: Apresentar um sistema de visão computacional em imagens de TCAR, desenvolvido localmente e denominado SIStema para a Detecção e a quantificação de Enfisema Pulmonar (SISDEP). Comparar esse sistema a um sistema computacional de acesso livre. Métodos: Foram utilizadas 33 imagens de TCAR de 11 pacientes com DPOC com cortes tomográficos em ápice, hilo e base. O SISDEP foi comparado a Osiris Medical Imaging Software Program quanto à segmentação do parênquima pulmonar; precisão das medidas da área de secção transversal dos pulmões em mm2, densidade pulmonar média (DPM), porcentagem da relative area (RA, área relativa) dos voxels com densidade < −950 Unidades Hounsfield (RA −950), valores de 15º percentil de baixa atenuação (Perc15) e visualização das áreas hiperaeradas por máscara colorida. Resultados: Os dois sistemas realizaram uma segmentação pulmonar eficiente; porém o SISDEP o fez de modo automático e mais rápido. Na comparação das medidas de área de secção dos pulmões, DPM, Perc15 e RA −950, houve alta correlação (r2 = 0,99; 0,99; 0,99; e 1,00, respectivamente) entre os dois sistemas. A ferramenta de máscara colorida do SISDEP permitiu excelente visualização das áreas hiperaeradas, discriminado-as das áreas normais. Conclusões: O SISDEP se mostrou eficiente na segmentação dos pulmões e na extração de dados quantitativos da aeração pulmonar com excelente correlação com o sistema Osiris. O SISDEP constitui uma promissora ferramenta computacional para a avaliação diagnóstica e o acompanhamento da evolução do enfisema em imagens de TCAR de pacientes com DPOC.
Palavras-chave:
Doença pulmonar obstrutiva crônica; Enfisema; Tomografia computadorizada por raios X;
IntroduçãoA DPOC é um grave problema de saúde pública mundial, com elevada morbidade e mortalidade. No Brasil, existem mais de 46 milhões de pessoas com idade a partir de 40 anos; dessas, mais de 11 milhões são tabagistas, e aproximadamente 10 milhões são portadoras de DPOC. O enfisema pulmonar é um dos seus principais componentes, sendo caracterizado por um aumento anormal e permanente dos espaços alveolares distais ao bronquíolo terminal.(1)
A TC, sobretudo, a TCAR, constitui uma excelente ferramenta para o diagnóstico do componente de enfisema na DPOC.(2,3) A leitura das imagens de TCAR na película de filme radiográfico, ou mesmo em meio eletrônico, na tela do computador, está sujeita a limitações inerentes à subjetividade e à variabilidade intra e interobservadores.(2) Por outro lado, a extração de dados quantitativos relacionados à densidade do parênquima permite determinar com precisão o grau de aeração do tecido pulmonar, guardando excelente correlação com o grau de enfisema na histopatologia.(4)
O diagnóstico auxiliado por sistemas computacionais vem ganhando cada vez mais espaço em várias modalidades diagnósticas. Esses sistemas têm a finalidade de reduzir o tempo de leitura dos exames e, ao mesmo tempo, aumentar a acurácia diagnóstica, auxiliando o radiologista em suas interpretações.(5,6) Conceitua-se como visão computacional a operação de automatizar e integrar uma ampla faixa de processos e representações utilizadas para melhorar a percepção da visão.(7) A visão computacional utiliza várias técnicas de processamento digital de imagem (PDI) com a finalidade de segmentar, reconhecer e identificar detalhes da região de interesse na imagem, de modo automático ou semiautomático.(8) Essas técnicas podem ser utilizadas para a detecção e a quantificação de regiões enfisematosas nos pulmões.(2) Um sistema de visão computacional para a detecção e a quantificação do componente de enfisema pulmonar nas imagens tomográficas pode oferecer, aos médicos e aos pacientes, mais uma importante ferramenta no auxílio ao diagnóstico e na avaliação da progressão da doença e de sua resposta ao tratamento.(9)
A disponibilização de exames de TC em formato eletrônico, como, por exemplo, em compact disks, abre a oportunidade para a quantificação do enfisema por meio do uso de programas de fácil aplicação em computadores pessoais de consultório ou em serviços de imagem. Atualmente, tais programas não estão disponíveis para uso rotineiro pelo clínico ou pelo radiologista.
Recentemente, desenvolvemos um sistema de visão computacional, o qual denominamos SIStema para a Detecção e a quantificação de Enfisema Pulmonar (SISDEP). O SISDEP incorpora ferramentas capazes de segmentar com precisão o parênquima pulmonar a partir de imagens de TCAR, tornando possível a extração automática de dados quantitativos da aeração pulmonar e possibilitando estimar o grau de enfisema nos cortes tomográficos.(10,11)
Os objetivos deste trabalho foram: 1. apresentar o SISDEP e suas ferramentas de avaliação de enfisema pulmonar em imagens de TCAR de pacientes com DPOC; e 2. comparar o SISDEP a um sistema de acesso livre (Osiris Medical Imaging Software Program; Digital Imaging Unit, Genebra, Suíça) quanto à segmentação dos pulmões em imagens de TCAR, extração de dados para a análise quantitativa e identificação visual das áreas hiperaeradas por máscara colorida.
MétodosTrata-se de um estudo prospectivo para o desenvolvimento de um novo sistema computacional que compreendeu as seguintes etapas: 1. aquisição das imagens de TCAR de pacientes com DPOC; 2. desenvolvimento do SISDEP; e 3. comparação do SISDEP ao sistema Osiris.
A base de dados foi constituída de 33 imagens de TCAR obtidas de 11 pacientes com DPOC e clinicamente estáveis. Todos os pacientes realizaram radiografia de tórax previamente para descartar outras doenças do tórax, assim como eletrocardiograma e ecocardiograma para descartar arritmias e cardiopatias. Também realizaram espirometria, antes e após administração de broncodilatador, no período da manhã.
Os seguintes critérios de inclusão foram utilizados: pacientes de ambos os sexos, maiores de 50 anos de idade com diagnóstico de DPOC leve, moderada ou grave e com doença estável. A estabilidade da DPOC foi caracterizada pela ausência de necessidade de atendimento de emergência ou de internação hospitalar e sintomas inalterados nos últimos dois meses.
Os critérios de exclusão foram: presença de arritmias graves, cardiopatias prévias ou diagnosticadas durante a realização do eletrocardiograma ou do ecocardiograma; hipertensão arterial sistêmica (pressão arterial sistólica maior ou igual a 180 mmHg e/ou pressão arterial diastólica maior ou igual a 120 mmHg); e outras doenças crônicas em atividade ou outras pneumopatias.
Dos pacientes incluídos no estudo, 4 eram do sexo feminino e 7 eram do sexo masculino, com idades que variavam entre 59 e 74 anos, média de 65 anos; índice de massa corporal de 25 ± 4,4 kg/m2; VEF1 de 0,86 ± 0,53 L (33 ± 16% do previsto); CVF de 2,29 ± 0,69 L (70 ± 13% do previsto) e VEF1/CVF de 41 ± 13%. Um paciente tinha DPOC de grau leve, 3 de grau moderado e 7 de intensidade grave, segundo o critério de classificação de Global Initiative for Chronic Obstrutive Lung Disease.(12)
Na obtenção das imagens, foi utilizado o tomógrafo modelo Aukelet (Toshiba TSX-003A, Tóquio, Japão). Antes da aquisição das imagens, para cada exame, o aparelho foi calibrado para densidade de ar a −1000 unidades Hounsfield (UH). A calibração para a densidade de água foi realizada em um período não superior a três meses da realização dos exames, conforme a especificação técnica do fabricante.(13) Foi realizado, antes da aquisição, um corte tomográfico de phantom de água, cuja densidade já é conhecida para a análise e o controle da calibração.
As imagens dos pacientes com DPOC foram adquiridas sob as seguintes condições: cortes com colimação de 1,5 mm, campo de visão de 312 mm, tempo de corte de 1,8 s, com 120 Kv de tensão, 200 mA de corrente elétrica de filamento do tubo e ajuste da janela pulmonar; centro e largura, respectivamente de −600/1600 UH e reconstrução com matriz de 512 × 512 pixels. Foi utilizado o filtro (bone) no algoritmo de alta resolução para a reconstrução das imagens.(14)
As imagens foram obtidas especificamente para um protocolo de pesquisa anterior ao presente estudo, no período de agosto de 2005 a março de 2006. Os cortes tomográficos foram realizados na posição supina, em três regiões: ápice (2 cm acima do arco aórtico), hilo (1 cm abaixo da carina) e base (2 cm acima do diafragma).(15,16) Tanto o protocolo de pesquisa anterior quanto o presente trabalho foram aprovados pelo comitê de ética e pesquisa do hospital onde foram realizados os exames.
O sistema SISDEP foi desenvolvido a partir de técnicas de PDI, objetivando reunir ferramentas capazes de: segmentar, de forma precisa e automática, o parênquima pulmonar, incluindo as medidas de área de secção dos pulmões em imagens de TCAR, densidade pulmonar média (DPM), percentual de áreas hiperaeradas compatíveis com enfisema - área relativa das unidades de volume (voxels) com densidade < −950 UH, e relative area (RA, área relativa) de −950 - e os valores de 15º percentil de baixa atenuação (Perc15).(10,16) O limiar de −950 UH foi escolhido por ter sido validado microscopicamente para cortes finos (1-2 mm de espessura) de TCAR para a quantificação de enfisema.(5)
Uma ferramenta adicional, denominada máscara colorida, capaz de realçar os voxels com densidades que se situam em faixas pré-definidas pelo usuário, foi implementada. Essa ferramenta mostra com precisão as diversas faixas de densidade pulmonar, realçando as regiões hiperaeradas que são de difícil visualização pelo olho humano na escala de tons de cinza.(10)
A ferramenta de máscara colorida tem dupla função. Ela possibilita o cálculo da RA de pulmão (em %) com densidade abaixo de um limiar de densidade pré-selecionado pelo operador, por exemplo, −950 UH no caso de estudos de regiões hiperaeradas (RA −950), e, ao mesmo tempo, facilita a demonstração visual das áreas que o sistema considera como anormais.(11) Essa ferramenta é semiautomática; o usuário digita a faixa de densidade e seleciona a cor que deseja aplicar e, ao pressionar um botão, o resultado sai de imediato, indicando a área e a porcentagem que a faixa escolhida ocupa na imagem. Como exemplo, selecionando a cor verde claro (ou qualquer outra cor escolhida pelo usuário) para os voxels com densidade inferior a −950 UH (pulmão enfisematoso ou hiperaerado) e selecionando a cor azul para aqueles com densidade entre −950 e −500 UH (pulmão normalmente aerado), obtém-se a porcentagem e a área correspondente a cada faixa.(10,11)
O programa Osiris é utilizado como ferramenta de pesquisa para estudos quantitativos da densitometria pulmonar.(17) Esse programa é muito utilizado, na comunidade científica internacional, por médicos e pesquisadores para estudos e análises de imagens tomográficas, apresentando vários recursos de PDI. É um sistema com aplicações mais gerais e de acesso livre.(18) A segmentação do parênquima pulmonar que é disponibilizada possibilita um ajuste manual pelo usuário. O mesmo ocorre para a obtenção das medidas de média, desvio-padrão, valor mínimo e máximo dos coeficientes de atenuação por unidade de área (pixel) e área de secção das imagens dos pulmões, que são apresentados separadamente para cada pulmão, quando é selecionada a opção "show data" na sua barra de ferramentas, após a segmentação.(18) Para cálculo da DPM, Perc15 e RA −950 , os dados necessitam ser exportados para outros programas, como o Excel®, para posterior processamento, o que demanda um período de tempo consideravelmente maior do que sistemas automáticos. A Figura 1 apresenta as interfaces do SISDEP e do sistema Osiris.

Todas as imagens foram segmentadas nos dois sistemas e, logo em seguida, foram calculadas as medidas de áreas de secção dos pulmões, DPM, RA −950 e Perc15. Para o sistema Osiris, os últimos três itens foram processados utilizando o programa Excel®.
As segmentações feitas pelos dois sistemas foram comparadas visualmente por dois observadores (um pneumologista e um radiologista) independentes e foram classificadas como: 1. discordantes, em caso de erros grosseiros, como ausência de segmentação de mais de um terço dos pulmões, ou mesmo de um pulmão inteiro, ou ainda a inclusão de áreas da parede torácica ou de estruturas mediastinais, como coração e grandes vasos; 2. parcialmente concordantes, quando os contornos se mostraram superponíveis em mais de 80% do traçado; e 3. concordantes, quando os contornos foram superponíveis ou com mínimas diferenças pontuais em toda sua extensão.
Para verificar a acurácia da segmentação e da análise quantitativa obtida pelo SISDEP, as medidas de área de cada pulmão, DPM, RA −950 e Perc15 do mesmo foram comparadas às medidas obtidas a partir do sistema Osiris e complementadas no programa Excel®.
Na realização da análise estatística, as variáveis calculadas de área da secção pulmonar, DPM, Perc15 e RA −950 foram testadas quanto à distribuição normal pelo teste de Kolmogorov-Smirnov. Em seguida, foi aplicado o teste de correlação de Pearson para os valores obtidos nos dois sistemas. As variáveis foram agrupadas em pares e os resultados apresentados em gráficos de dispersão com o respectivo coeficiente de correlação. Foi considerado um erro α de 0,05 como ponto de corte para a determinação da significância estatística. Todas as análises estatísticas foram obtidas por meio do programa OriginPro versão 7.5 (OriginLab, Northampton, MA, EUA).(19)
ResultadosAs segmentações pulmonares foram classificadas da seguinte forma: 17 (51%) como parcialmente concordantes e 16 (49%) como concordantes. Não se observaram segmentações pulmonares discordantes. Exemplos representativos de segmentação das imagens de TCAR realizadas de modo automático pelo SISDEP e pelo sistema Osiris são apresentados nas Figuras 2 e 3. Há dois contornos, um de cor amarela, representando o sistema Osiris, e outro de cor vermelha, representando o SISDEP. Exemplos de segmentação concordantes são mostrados na Figura 2, em que se observa todo o traçado do contorno, com algumas pequenas diferenças pontuais ocasionadas pela imprecisão da segmentação do sistema Osiris.


Exemplos de segmentação parcialmente concordantes são mostrados na Figura 3. Na Figura 3a, a concordância parcial foi gerada por imprecisões dos dois sistemas; na Figura 3b, a concordância parcial ocorreu pela imprecisão da segmentação do SISDEP, enquanto na Figura 3c essa foi ocasionada pela imprecisão da segmentação do sistema Osiris.
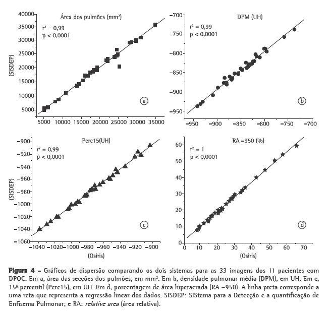
Os gráficos de dispersão para as medidas de área da secção dos pulmões, DPM, RA −950, Perc15 entre os sistemas Osiris e o SISDEP, bem como o coeficiente de correlação (r2) com o nível de significância para cada par de variáveis são apresentados na Figura 4. Houve correlação significativa entre as medidas obtidas pelos dois sistemas para as quatros variáveis estudadas.

A ferramenta de máscara colorida do SISDEP foi configurada para realçar com cores o tecido pulmonar segundo faixas de densidades previamente definidas: áreas hiperaeradas de −1.100 a −951 UH (verde claro).(4,11) A Figura 5 apresenta, respectivamente, a imagem original (Figura 5a), a imagem segmentada (Figura 5b) e os resultados do emprego da máscara colorida com o SISDEP (Figura 5c), na qual a região hiperaerada (com enfisema) representa 44,2%, realçada pela cor verde, e o tecido sadio, na cor cinza, com 46,4%.
DiscussãoO presente trabalho testou um sistema auxiliar de diagnóstico por imagem desenvolvido no Brasil (SISDEP), comparando-o com os resultados de um sistema conhecido internacionalmente (Osiris) quanto à capacidade do SISDEP de realizar a segmentação automática da área pulmonar e de quantificar a área total de enfisema em cortes tomográficos isolados, com base no valor de coeficiente de atenuação fornecido na imagem de TCAR. O SISDEP foi capaz de processar dados quantitativos da aeração pulmonar, auxiliando na avaliação da extensão de enfisema em pacientes com DPOC, sendo o primeiro estudo deste tipo desenvolvido em nosso país.
O SISDEP se mostrou capaz de realizar a segmentação automática do parênquima pulmonar e a extração da medida de área pulmonar, bem como calcular de modo semiautomático as variáveis relacionadas à gravidade do componente de enfisema pulmonar, a DPM, a RA −950 e o Perc15.(10,11) Esse sistema também disponibiliza uma ferramenta de máscara colorida, que permite melhorar a visualização das áreas hiperaeradas, contrastando-as com áreas de pulmão normal.(11)
Tanto a segmentação pulmonar quanto os dados quantitativos de aeração obtidos pelo SISDEP se correlacionaram aos adquiridos pelo sistema Osiris, com a vantagem do primeiro se processar de modo automático e, portanto, com maior rapidez e sem a necessidade de análise complementar por outros programas. Por outro lado, a ausência de possibilidade de ajuste manual após a segmentação automática do contorno pulmonar no SISDEP consiste em uma limitação do mesmo em casos em que tal procedimento se fizer necessário por imperfeições ou erros de segmentação.
Atualmente, não há consenso sobre o parâmetro ideal para a quantificação do enfisema em imagens de TCAR, e diversos índices são utilizados. Vários autores utilizaram de forma isolada alguns índices como, por exemplo, o percentual de áreas hiperaeradas com densidade < −900 UH,(20) medidas de DPM e Perc15, bem como as análises de texturas do parênquima pulmonar, não havendo um padrão ouro.(16,21,22) O SISDEP é capaz de extrair simultaneamente diversos índices quantitativos utilizados para se estimar o grau de enfisema, possibilitando uma análise mais detalhada da aeração pulmonar.
A falta de um padrão ouro se deve, em parte, ao fato de que as densidades radiológicas extraídas a partir de imagens tomográficas sofrem a influência da espessura dos cortes, do algoritmo de reconstrução de imagens, do filtro utilizado, da calibração e do tipo de tomógrafo, acarretando a inclusão de artefatos (ruídos) nas informações de densidade da imagem. Recentemente, o emprego de cortes finos (1-2 mm de espessura) com reconstrução das imagens utilizando-se filtros padrões (não realçadores de bordas, utilizados em cortes convencionais) podem minimizar esses problemas.(23) Além disso, a seleção adequada de limiares para as baixas densidades que representam áreas hiperaeradas é crucial (−1000 a −950UH; −950 a 900 UH; −930 UH; ou < −900 UH), e essa seleção varia muito entre diversos estudos.
(4,9,20,24,25) A falta de consenso sobre o limiar de atenuação dá-se pela falta de padronização dos parâmetros de TC.
Este estudo apresenta algumas limitações. O SISDEP foi empregado em um número pequeno de imagens, adquiridas a partir de um mesmo tomógrafo e seguindo o algoritmo de reconstrução habitualmente usado nas imagens de alta resolução. Além disso, foi utilizado o filtro de aguçamento de bordas por ocasião da aquisição e do processamento das imagens. Esse tipo de processamento altera o coeficiente de atenuação, especialmente nas interfaces entre estruturas de densidades muito diferentes (tais como vasos e espaços aéreos), acarretando mais ruído e, eventualmente, superestimando o percentual de áreas hiperaeradas.(23)
Trabalhos futuros são necessários visando a validação do SISDEP a partir de imagens obtidas em diferentes tomógrafos e em aparelhos com múltiplos detectores,(26) com diversos graus de espessura de corte e com diferentes algoritmos de reconstrução em um número maior de imagens.
A relevância clínica do presente trabalho reside na possibilidade de aplicação do SISDEP no diagnóstico precoce da DPOC, na avaliação da sua progressão, na seleção do candidato ideal a cirurgia redutora de enfisema e mesmo em pesquisas para a avaliação do impacto de intervenções terapêuticas sobre o enfisema.(27,28) Futuros trabalhos visando à quantificação volumétrica (densitovolumetria) das áreas pulmonares hiperinsufladas e a avaliação dos padrões de organização espacial das áreas de enfisema (análise de clusters) poderão expandir sua aplicação clínica e em pesquisa.(29,30)
Conclui-se que o SISDEP se mostrou eficiente para a segmentação dos pulmões em imagens de TCAR, com excelente correlação com o sistema Osiris na extração de dados quantitativos da aeração pulmonar. O SISDEP se apresenta como uma promissora ferramenta computacional que agrega à TCAR possibilidades de análises quantitativas de modo automático e semiautomático para melhor avaliação diagnóstica e acompanhamento da evolução do enfisema em pacientes com DPOC.
Referências 1. Sociedade Brasileira de Pneumologia e Tisiologia [homepage on the Internet]. Brasília: Sociedade Brasileira de Pneumologia e Tisiologia; c2008. [updated 2008 Jun 20; cited 2008 Nov 17]. Consenso brasileiro sobre doença pulmonar obstrutiva crônica - DPOC - Sociedade Brasileira de Pneumologia e Tisiologia - SBPT - revisão de alguns aspectos de epidemiologia e tratamento da doença estável - 2006. [Adobe Acrobat document, 24p.] Available from: http://www.sbpt.org.br/downloads/arquivos/Consenso_DPOC_SBPT_2006.pdf
2. Coxson HO, Rogers RM, Whittall KP, D'yachkova Y, Paré PD, Sciurba FC, et al. A quantification of the lung surface area in emphysema using computed tomography. Am J Respir Crit Care Med. 1999;159(3):851-6. Erratum in: Am J Respir Crit Care Med. 2001;163(6):1500-1.
3. Muller NL, Coxson H. Chronic obstructive pulmonary disease. 4: imaging the lungs in patients with chronic obstructive pulmonary disease. Thorax. 2002;57(11):982-5.
4. Gevenois PA, De Vuyst P, de Maertelaer V, Zanen J, Jacobovitz D, Cosio MG, et al. Comparison of computed density and microscopic morphometry in pulmonary emphysema. Am J Respir Crit Care Med. 1996;154(1):187-92.
5. Li Q, Li F, Suzuki K, Shiraishi J, Abe H, Engelmann R, et al. Computer-aided diagnosis in thoracic CT. Semin Ultrasound CT MR. 2005;26(5):357-63.
6. Doi K. Overview on research and development of computer-aided diagnostic schemes. Semin Ultrasound CT MR. 2004;25(5):404-10.
7. Ballard DH, Brown CM. Computer vision. Englewood Cliffs: Prentice-Hall; 1982. p. 1-2.
8. Jan J. Medical image processing, reconstruction, and restoration: concepts and methods. Boca Raton: Taylor & Francis; 2006. p.361-3.
9. Stolk J, Ng WH, Bakker ME, Reiber JH, Rabe KF, Putter H, et al. Correlation between annual change in health status and computer tomography derived lung density in subjects with alpha1-antitrypsin deficiency. Thorax. 2003;58(12):1027-30. Erratum in: Thorax. 2004 Feb;59(2):179.
10. Felix JH. Sistema de Visão Computacional para Detecção e Quantificação de Enfisema Pulmonar [dissertation]. Fortaleza: Universidade do Federal do Ceará; 2007.
11. Felix JH, Cortez PC, Rebouças-Filho PP, Alexandria AR, Costa RC, Holanda MA. Identification and Quantification of Pulmonary Emphysema through Pseudocolors. Lect Notes Comput Sci. 2008;5317:957-64.
12. Global Initiative for Chronic Obstructive Lung Disease. Global strategy for the diagnosis, management and prevention of chronic obstrutive pulmonary disease: NHLBI/WHO workshop report. Bethesda: National Heart, Lung and Blood Institute, 2001.
13. Toshiba Corporation. Manual de operação do sistema: Tomógrafo computadorizado de raio-X de corpo inteiro. Aquisição de densidades de calibração. São Paulo: Toshiba Corporation; 1997.
14. Webb WR, Müller NL, Naidich DP. High-Resolution CT of the Lung. Philadelphia: Lippincott Williams & Wilkins; 1996. p.1-23.
15. Fortaleza SC. Efeitos da Administração de Pressão Positiva Contínua em Vias Aéreas de Modo não Invasivo Sobre a Aeração do Parênquima Pulmonar em Pacientes com Doença Pulmonar Obstrutiva Crônica. [dissertation]. Fortaleza: Universidade Federal do Ceará; 2006.
16. Stoel BC, Stolk J. Optimization and standardization of lung densitometry in the assessment of pulmonary emphysema. Invest Radiol. 2004;39(11):681-8.
17. Borges JB, Okamoto VN, Matos GF, Caramez MP, Arantes PR, Barros F, et al. Reversibility of lung collapse and hypoxemia in early acute respiratory distress syndrome. Am J Respir Crit Care Med. 2006;174(3):268-78.
18. Osiris - Imaging Software [homepage in the Internet]. Geneva: University Hospitals of Geneva. [updated 2007 Mar 15; cited 2008 Jun 18]. Osiris - user manual - version 3.1 - 1996. [Adobe Acrobat document, 50p.] Available from: http://www.dim.hcuge.ch/osiris/OsirisUsersManual.pdf
19. OriginLab Corporation. Getting Started Manual. Version 7.5. Northampton: OriginLab Corporation; 2003.
20. Archer DC, Coblentz CL, deKemp RA, Nahmias C, Norman G. Automated in vivo quantification of emphysema. Radiology. 1993;188(3):835-8.
21. Uppaluri R, Mitsa T, Sonka M, Hoffman EA, McLennan G. Quantification of pulmonary emphysema from lung computed tomography images. Am J Respir Crit Care Med. 1997;156(1):248-54.
22. Xu Y, Sonka M, McLennan G, Guo J, Hoffman EA. MDCT-based 3-D texture classification of emphysema and early smoking related lung pathologies. IEEE Trans Med Imaging. 2006;25(4):464-75.
23. Reske AW, Busse H, Amato MB, Jaekel M, Kahn T, Schwarzkopf P, et al. Image reconstruction affects computer tomographic assessment of lung hyperinflation. Intensive Care Med. 2008;34(11):2044-53.
24. Vieira SR, Puybasset L, Richecoeur J, Lu Q, Cluzel P, Gusman PB, et al. A lung computed tomographic assessment of positive end-expiratory pressure-induced lung overdistension. Am J Respir Crit Care Med. 1998;158(5 Pt 1):1571-7.
25. Lee YK, Oh YM, Lee JH, Kim EK, Lee JH, Kim N, et al. Quantitative assessment of emphysema, air trapping, and airway thickening on computed tomography. Lung. 2008;186(3):157-65. Erratum in: Lung. 2008;186(4):277.
26. Newell JD Jr. Quantitative computed tomography of lung parenchyma in chronic obstructive pulmonary disease: an overview. Proc Am Thorac Soc. 2008;5(9):915-8.
27. Figueroa PA, Martinez-Silveira MS, Ponte E, Camelier A, Pereira-Silva JL. Radiological profile of the ideal candidate for lung volume reduction surgery to treat emphysema: a systematic review. J Bras Pneumol. 2005;31(3):197-204.
28. Washko GR, Hoffman E, Reilly JJ. Radiographic evaluation of the potential lung volume reduction surgery candidate. Proc Am Thorac Soc. 2008;5(4):421-6.
29. Irion KL, Hochhegger B, Marchiori E, Porto NS, Baldisserotto SV, Santana PR. Chest X-ray and computed tomography in the evaluation of pulmonary emphysema. J Bras Pneumol. 2007;33(6):720-732.
30. Matsuoka S, Kurihara Y, Yagihashi K, Nakajima Y. Morphological progression of emphysema on thin-section CT: Analysis of longitudinal change in the number and size of low-attenuation clusters. J Comput Assist Tomogr. 2006;30(4):669-74.
Estudo realizado no Laboratório de Engenharia de Sistemas de Computação - LESC - Departamento de Engenharia de Teleinformática, Universidade Federal do Ceará, Fortaleza (CE) Brasil.
Endereço para correspondência: John Hebert da Silva Felix. Rua Coronel Mozart Gondim, 1520, São Gerardo, CEP 60320-250, Fortaleza, CE, Brasil.
Tel 55 85 8738-1305. E-mail: jhsfelix@gmail.com
Apoio financeiro: Este estudo recebeu apoio financeiro da Fundação Cearense de Apoio ao Desenvolvimento Científico e Tecnológico (FUNCAP).
Recebido para publicação em 4/12/2008. Aprovado, após revisão em 22/4/2009.
Sobre os autores John Hebert da Silva Felix
Doutorando em Engenharia de Teleinformática. Universidade Federal do Ceará, Fortaleza (CE) Brasil.
Paulo César Cortez
Professor Associado I. Departamento de Engenharia de Teleinformática, Universidade Federal do Ceará, Fortaleza (CE) Brasil.
Rodrigo Carvalho Sousa Costa
Doutorando em Engenharia de Teleinformática. Universidade Federal do Ceará, Fortaleza (CE) Brasil.
Simone Castelo Branco Fortaleza
Médica Pneumologista. Hospital Universitário Walter Cantídio, Universidade Federal do Ceará, Fortaleza (CE) Brasil.
Eanes Delgado Barros Pereira
Professor Adjunto. Departamento de Medicina Clinica, Hospital Universitário Walter Cantídio, Universidade Federal do Ceará, Fortaleza (CE) Brasil.
Marcelo Alcantara Holanda
Professor Adjunto. Departamento de Medicina Clinica, Hospital Universitário Walter Cantídio, Universidade Federal do Ceará, Fortaleza (CE) Brasil.